En este trabajo se sostiene que durante la segunda mitad de la década de 1990 se desarrolló un proceso de pérdida de valor de las credenciales educativas de los trabajadores con nivel de estudios secundario completo o mayor. Como a su vez en el período se incrementó la desigualdad salarial se sostiene que lo que se observa es un fenómeno de dos aristas: de devaluación educativa y segmentación del mercado de trabajo. Para realizar estas afirmaciones se utilizan regresiones lineales múltiples para el cálculo de premios salariales. Dado que la fuente utilizada es una muestra y el universo es pequeño se utilizan pooles de datos para ampliar la cantidad de muestra disponible y mejorar las estimaciones. Se desarrolla una metodología cuyo objetivo es poder decidir desde el punto de vista estadístico si los pooles de datos pueden ser utilizados o no en cada problema de trabajo y como trabajar con ellos, y así poder utilizar los recursos disponibles bajo el control de métodos estadísticos.
El estudio de los docentes como colectivo laboral en Argentina puede ser realizado con precisión a partir de los Censos Nacionales de Docentes. Estas fuentes de información son específicas del sector educativo y, por lo tanto, las más idóneas para la caracterización detallada de los cargos, horas, funciones, trayectorias y formación de los docentes. Sin embargo, sus principales limitaciones son la periodicidad decenal y las dificultades para comparar a los docentes con otros grupos laborales. La Encuesta Permanente de Hogares, fuente diseñada para caracterizar y monitorear la inserción laboral de la población, permite suplir las limitaciones mencionadas en el estudio de los ocupados en las actividades de enseñanza. Sin embargo, tiene ciertas características y limitaciones que resultan importantes tener en cuenta al utilizarla para estudiar el colectivo docente. Este artículo analiza la fuente en cuanto sus potencialidades para el estudio de este grupo laboral. Concluye que es consistente para el estudio de la evolución del empleo docente.
El artículo está centrado en la discusión de aspectos metodológicos de la investigación de tesis de la autora. En el campo de los estudios sobre la distribución personal del ingreso y los mercados de trabajo resulta habitual el análisis de la regresión del ingreso personal contra diversos atributos de los perceptores y sus ocupaciones. Este análisis tiene por requisito la resolución de cuestiones referidas a: la definición del modelo en que estará basado, el tratamiento que se dará a los casos sin información y los procedimientos mediante los que se evaluará y, eventualmente, corregirá la influencia de los casos extremos sobre los parámetros estimados. El artículo refiere qué decisiones fueron tomadas en la investigación a este respecto, fundamentando las razones y describiendo su impacto sobre los resultados obtenidos.
El presente artículo tiene como objetivo presentar las diferentes perspectivas y usos de los indicadores, por un lado, desde las ciencias sociales y por otro desde lo que se denominó “Movimiento de Indicadores Sociales”. En términos generales, el uso de los indicadores ha sido utilizado desde el enfoque de las ciencias sociales para medir empíricamente conceptos teóricos que permitan el abordaje empírico a los fenómenos sociales. Sin embargo, los indicadores son también utilizados desde una perspectiva más pragmática, principalmente por los organismos de estadística y organismos internacionales. A través del artículo se presentan los diferentes recorridos realizados por las perspectivas mencionadas. En la primera parte se describe la medición empírica de conceptos a través de indicadores en los principales referentes de las ciencias sociales. En la segunda parte se describe el contexto de surgimiento y el desarrollo de lo que se denominó “Movimiento de Indicadores Sociales” como otra forma de aproximación al estudio de la realidad social a través de indicadores. En la tercera se problematiza las diferencias de ambas perspectivas en cuanto a los objetivos y el método que utilizan y se presenta como conclusión la importancia de vincular ambas perspectivas.
El presente trabajo intenta explorar la creciente importancia que los estudios de opinión pública han comenzado a tener durante las últimas décadas. En este sentido, se busca brindar un aporte a la investigación dentro de una actividad que siempre ha estado más bien alejada del ámbito académico, en especial en los estudios relacionados con los procesos electorales. Asimismo, el trabajo intenta develar la notable injerencia que los medios de comunicación tienen en los procesos electorales de los últimos años, demostrándose que se trata de una tendencia que va tomando cada vez más impulso. Finalmente, se analizaran cuestiones que resultan un aporte para diagnosticar los cambios en las percepciones de la ciudadanía durante la etapa previa y posterior a una elección.
El trabajo presenta la construcción de un índice que tiene como finalidad asignar a cada hogar urbano de la República Argentina un nivel socioeconómico. Se piensa al índice como una variable latente (no observable) y se aplica el análisis de correspondencia múltiple, método exploratorio de estadística multivariada, para obtener los ponderadores (pesos) de las modalidades de las doce variables seleccionadas.
El índice se compone de variables relativas a las características de la vivienda, la condición laboral y educativa del jefe de hogar y del cónyuge. La metodología se aplica a la Encuesta Nacional de Gasto de los Hogares 2012/2013 (Instituto Nacional de Estadísticas y Censos). Una vez estimados los puntajes de la variable latente para los hogares urbanos, se establecen los quintiles socioeconómicos y se asigna a cada hogar un quintil. Finalmente, se analizan las características de cada uno de los quintiles obtenidos y se indican las fortalezas y limitaciones de la metodología.
En este artículo se analizan las orientaciones de futuro laboral y educativo de los estudiantes que a fines de 2008 cursaban el último año de estudio en las escuelas estatales de la Ciudad Autónoma de Buenos Aires. En primer lugar, se describen las orientaciones de futuro hallándose una prevalencia de proyectos educativo-laborales entre los estudiantes y una anticipación de obstáculos que resulta más pronunciada en el plano laboral que en el educativo. Luego, mediante un análisis de regresión logística multivariada, se compara la influencia relativa de distintos atributos sociales, escolares, biográficos y de la oferta educativa sobre los objetivos de tipo profesional. Entre los principales resultados se halla que las diferencias de género muestran contundencia en la priorización de un objetivo profesional. La modalidad del plan de estudios también emerge como un aspecto clave en los horizontes de futuro, observándose un hiato entre la formación bachiller-comercial y la técnica, donde prevalecen expectativas de inserción laboral directa luego del egreso. Otro hallazgo es que en el plano educativo los horizontes de profesionalización adquieren una difusión más amplia e independiente del origen social educacional, como reflejo de un contexto donde están dadas ciertas condiciones para el acceso masivo a la educación superior. Por otra parte, en el trabajo se enfatiza la importancia de considerar la complejidad del diseño muestral en la instancia de análisis de los datos. Para ello se comparan los resultados obtenidos con estimadores que consideran la complejidad de diseño muestral con otros “naive”, reflexionando acerca de las implicancias epistemológicas que esto conlleva en la puesta a prueba de hipótesis en el análisis bivariado y multivariado.
En la actualidad el delito y la punición son analizados desde diferentes enfoques, ya que además de estar en crisis son temas a los cuales se les busca encontrar respuestas y soluciones. Es sabido entre los expertos que estudian estos tópicos que dentro de las cárceles la población es mayoritariamente joven, con bajos niveles de educación y provenientes de clases socioeconómicas medias/bajas y bajas, caracterizadas, entre otras cosas, por los bajos niveles de ingreso.
Teniendo en cuenta estas características podría pensarse que la vinculación explicativa de una conducta delictiva está dada por la asociación entre la condición de pobreza de un hogar y/o de sus integrantes y las probabilidades de comisión de delitos y la reincidencia en los mismos. Sin embargo, en este documento proponemos la existencia de una relación mucho más compleja. Por lo tanto, cabe preguntarse en relación al delito y a la reincidencia en el mismo, ¿qué tan asociados están esos factores a quienes incurren nuevamente en una conducta delictiva y al nivel de violencia al momento de perpetrar un delito?, finalmente, ¿qué factores son estos?
Para responder a estas preguntas se realizó un modelo de análisis multivariado basado en una regresión logística, en el cual se incorporaron variables relacionadas con los entornos o contextos de socialización temprana de los sujetos así como la trayectoria en instituciones como los institutos de menores. Los datos utilizados pertenecen a la Encuesta a Población en Reclusión de 2013, en la cual para Argentina se aplicaron más de mil encuestas personales a presos condenados por la justicia federal y ordinaria de la Capital así como por la justicia de la Provincia de Buenos Aires. Cabe destacar, además, que este fue un estudio que abarcó un conjunto de otros cinco países de la región: Brasil, Chile, El Salvador, México y Perú.
Este artículo trata acerca del empleo de la regresión logística binaria para la construcción de un grupo de comparación útil para la evaluación de impacto de un programa social. Se basa en una experiencia de aplicación real de tal procedimiento.
En la primera parte se aborda brevemente la problemática que plantea la implementación de diseños puramente experimentales en el caso de la evaluación de políticas públicas de contenido social y la alternativa de emplear modelos cuasi experimentales con un grupo de comparación construido estadísticamente. También se ponen en consideración algunas cuestiones inherentes a los diseños con doble medición, al tiempo que se abordan las dificultades que plantea la frecuente ausencia de una línea de base en el caso de los programas sociales. Asimismo, se explicitan los requisitos que debieran cumplimentar los grupos de comparación construidos mediante modelación estadística.
La segunda parte se refiere a las características del procedimiento estadístico empleado (la regresión logística binaria) y su utilidad específica para la obtención de grupos de comparación, con las limitaciones e inconvenientes que plantea, las alternativas posibles para sortearlos y los recaudos a adoptar. Finalmente, en la última parte se exponen los resultados provenientes del ejemplo de aplicación de este procedimiento conjuntamente con la interpretación de los mismos.
El conocimiento de la superficie sembrada con cultivos extensivos es de relevancia estratégica para el país y necesita ser estimada en forma objetiva dos veces al año para las principales Provincias Argentinas. El método aquí propuesto es el de observar –con el significado literal de la palabra- una muestra de segmentos que se definen, como relativamente pequeñas áreas que toman la forma de polígonos rectangulares, sin consultar a los dueños de las tierras, a los productores ni a ninguna persona relacionada con las explotaciones que contiene el segmento.
La selección original es de puntos aleatorios dentro de estratos de uso homogéneo del suelo, que luego se los transforma en segmentos. Es obvio que gran parte de los puntos caerán en lugares que no se pueden acceder con un vehículo y para poder llevar a cabo la observación es necesario trasladar el punto hasta el camino más próximo y allí conformar el segmento. Desde el punto de vista de la teoría del muestreo se reconoce que el procedimiento de trasladar origina un sesgo el cual es un error no debido al muestreo.
La contrapartida es que el método tiene importantes ganancias, entre ellas: a) muy alta confiabilidad de los datos por provenir de observaciones “in situ” hechas por expertos, b) no hay error en la medida de las superficies por utilizar tecnología satelital, c) una vez definido el segmento el Sistema de Posicionamiento Global (GPS) permite controlar el operativo y anula el error de ubicación de los segmentos en futuros operativos, d) las muestras son altamente comparables en el tiempo, e) los resultados se obtienen en breve tiempo, en general no más de tres meses, f) reducción notable del presupuesto al no existir revisitas.
El método incorpora nuevas tecnologías, entre ellas: imágenes satelitales, Sistemas de Información Geográfica (GIS), el GPS, el uso del Índice de Vegetación de Diferencia Normalizada (NDVI), programas de procesamiento de la información y protocolos estrictos de procedimientos.
Este trabajo mide la eficiencia en la producción de las PyME industriales argentinas a partir de la productividad total de los factores, para el período 2005-2011, utilizando datos a nivel empresa, y aplicando el enfoque Análisis Envolvente de Datos (DEA por sus siglas en inglés) basado en el trabajo de Farrell (1957) y las extensiones introducidas por Charnes et al (1978) y Banker et al (1984). Se busca generar un aporte desde el punto de vista metodológico, como antecedente en lo referido a cómo puede medirse la eficiencia de las PyME industriales argentinas en base a información estadística disponible, y explorar cuáles son los factores determinantes de la misma, ya que hasta el momento hay un vacío de información en este sentido. A partir de esto, se explora la asociación de este nivel de eficiencia con factores exógenos a las empresas o internos a las mismas como potenciales determinantes del mismo. Se encuentra que las PyME localizadas en las regiones del país de mayor desarrollo relativo y concentración de la actividad económica tienen un nivel de eficiencia en promedio mayor al resto. Mientras que, sorprendentemente, no hay evidencia suficiente para suponer que el sector de actividad de pertenencia está relacionado con el nivel de eficiencia en la producción. Por otro lado, contrariamente a lo esperado, las empresas más grandes, que exportan, y que solicitan y obtienen créditos bancarios, registran en promedio menores niveles de eficiencia que el resto, aunque esto podría explicarse por el hecho de que estas firmas están más capitalizadas, lo que, al incrementar su dotación del factor de producción capital, impacta negativamente en su eficiencia técnica de producción.
En el presente artículo se exponen aspectos analíticos y metodológicos de la aplicación de diversas técnicas de análisis de datos multivariados empleadas en una investigación sobre salud sexual y reproductiva y educación sexual. Se propone la categoría de escenarios complejos como construcción analítica que permite poner en vinculación concepciones, creencias y actitudes sobre sexualidad, diversidad sexual, género y aborto en base a un relevamiento por encuestas estructuradas en mujeres y varones adolescentes escolarizados en el nivel medio de Argentina realizado durante el segundo semestre del 2012. Dicho relevamiento tuvo como propósito principal indagar y explorar las formas en que determinadas concepciones sobre la sexualidad y el género de los alumnos se vinculan con modelos de educación sexual, las temáticas priorizadas en dichos abordajes, las formas en que se establecen los vínculos con docentes y adultos, los vínculos afectivos intrageneracionales, y las instancias de subjetivación juvenil. Se aplicaron una serie de técnicas estadísticas multivariadas: análisis de componentes principales, análisis de cluster por el método de K-medias y, fundamentalmente, el análisis de correspondencias múltiples para la generación de los escenarios complejos.
La elección a Presidente en Argentina de 2011 tuvo como ganadora a la candidata por el Frente para la Victoria Cristina Kirchner con una amplia diferencia respecto al segundo. El triunfo de la candidata tiene diferentes explicaciones causales desde el punto de vista de las motivaciones del voto por parte del electorado. A través de la presente investigación se intenta identificar las variables condicionantes y jerarquizarlas. Las características socio demográficas del ciudadano no tienen la influencia de otros momentos. En cambio, variables relacionadas con la gestión, el posicionamiento de los candidatos y el vínculo entre Néstor Kirchner y su esposa adquieren mayor protagonismo como condicionantes del voto.
El triunfo de Mauricio Macri en la elección presidencial de 2015 también tiene sus explicaciones causales. Sin entrar en la profundidad de la elección de 2011, se encontraron aspectos ideológicos y vinculados al consumo como elementos motivadores del voto.
Este trabajo analiza tanto los antecedentes como las características actuales del sistema de información estadística del sistema educativo argentino. Se plantea también el camino futuro de este sistema, teniendo en cuenta los cambios tecnológicos que tuvieron lugar en nuestro país en los últimos años.
Actualmente, el sistema nacional de información educativa está basado, principalmente, en el Relevamiento Anual, operativo censal que recoge con un corte anual la información consolidada a nivel nacional sobre las principales variables del sistema educativo, exceptuando las universidades. Este sistema garantiza una información homogénea y comparable para todo el ámbito nacional.En la actualidad el sistema de información educativa enfrenta nuevos desafíos producto de un sistema educativo complejo y en constante transformación. Además, el Relevamiento Anual presenta varias limitaciones y solo permite analizar en forma parcial los nudos críticos del sistema educativo. Para paliar estas limitaciones, durante los años 2013 y 2015, se desarrolló un Sistema Integral de Información Digital Educativa —SInIDE—, basado en información nominal de los alumnos. Este nuevo sistema articula y compatibiliza los requerimientos de información de las distintas instancias de gestión en los niveles nacional y jurisdiccional y permite que las instituciones educativas desarrollen a través de este sistema sus propios procesos administrativos y pedagógicos. Su potencialidad radica en la posibilidad de acelerar todos los procesos y de recoger datos adicionales para diagnosticar el funcionamiento del sistema educativo y las trayectorias educativas de los alumnos, tanto a nivel de los establecimientos como a nivel provincial o nacional. Además, permite la construcción de nuevos indicadores para evaluar la situación del sistema educativo en todo el país, fortaleciendo las políticas que se llevan a cabo en el marco de la Ley de Educación Nacional.
Este trabajo muestra los resultados mediante la aplicación de un instrumento de recolección de datos reticulares para un estudio de línea de base y evaluación de políticas públicas en entornos rurales, a fin de describir, medir y comparar las formas de las asociaciones entre los agentes involucrados de dos cooperativas.
Los objetivos de la ponencia radican en describir y caracterizar las redes de asociaciones de pequeños productores rurales en un contexto social delimitado, y evaluar la viabilidad de complementar los análisis estadísticos cuantitativos tradicionales con la metodología del análisis de redes sociocéntricas, para focalizar las formas de intervención y detectar asociaciones latentes y potenciales.
Los resultados obtenidos al aplicar este instrumento en dos agrupaciones de pequeños productores rurales del Noroeste argentino, beneficiarios de un programa social en el año 2014, muestran dos grafos multiplexados diferenciados. Mientras que en la primera red la forma de las asociaciones para movilizar recursos estratégicos se encuentra restringida por la autoridad de los referentes de la organización, en la segunda se observa una distribución más equitativa y menos autoritaria de los vínculos, así como una intermediación menos centralizada.
Se concluye que esta metodología ha sido adecuada para describir las fuerza, dirección y circulación de las relaciones entre los nodos de las agrupaciones relevadas, así como la existencia de asociaciones potenciales que no sean efectivizado. De esta forma la toma de decisiones se ve beneficiada al disponer de información específica, que permite detectar la necesidad de fortalecer vínculos, así como la posibilidad de identificar nodos y subgrupos que centralizan la intermediación y los recursos o que pueden desarrollar una mejor circulación de los mismos a causa de sus posiciones estratégicas en las redes.
El artículo presenta una metodología para la reconstrucción de las series del Nomenclador de Condición Socio-Ocupacional y el esquema de clases de Torrado a lo largo del período 1980-2001, durante el cual los cambios en los sistemas clasificatorios de las variables involucradas en su construcción presentaron importantes cambios. Se utilizaron los datos secundarios del estudio “Estructura Social Argentina” del Consejo Federal de Inversiones para el censo de 1980 y los datos publicados por el Instituto Nacional de Estadística y Censos de los censos de población de 1991 y 2001, para el Total del País.
La investigación aborda tanto las cuestiones metodológicas enfrentadas a la realidad de la oferta estadística en Argentina así como también aspectos teóricos sobre la temática de la estructura social. Se realiza un detallado análisis de las fuentes existentes que permiten la construcción de series lo más homogéneas posibles en términos metodológicos con el objetivo de que muestren los cambios de la estructura social entre fines de los cuarenta y la actualidad. Se analizan también los resultados alcanzados. En lo que hace a este aspecto, sin embargo, la profundidad de la indagación es menor.
El aporte permite continuar y armonizar, con las dificultades y advertencias metodológicas que implica, los trabajos de Germani (1955) y Torrado (1992) y el análisis de la estructura social Argentina según datos secundarios cuantitativos.
Palabras clave: Condición Socio-Ocupacional; clases sociales; censos de población; estructura social argentina; mercado de trabajo; ocupación; empleo.
  
En este trabajo se analizan resultados parciales surgidos en el marco del estudio de referencia. Para el mismo, se diseñó un instrumento de recolección de datos reticulares, con el cual se recopilaron relaciones al interior de dos cooperativas de pequeños productores rurales del Noroeste Argentino (NOA), a fin de comparar como circulan determinadas formas de asociaciones, que se aproximan al concepto de capital social, en grupos sociales cuyos límites reales pudiesen establecerse.
Por ello, se seleccionaron a dos cooperativas de productores rurales de las Provincias de Tucumán y Jujuy, de un total de 14 grupos de beneficiarios de un programa social, que previamente habían sido relevados por el CINEA/UNTreF, para la elaboración de una Línea de Base destinada al Programa de Desarrollo Rural Incluyente (PRODERI), de la Unidad para el Cambio Rural (UCAR), cuyo accionar se ubica bajo la esfera del Ministerio de Agricultura Ganadería y Pesca de la República Argentina. En dicho estudio descriptivo, se abordó la medición sobre asociatividad de los integrantes de las cooperativas desde un enfoque estadístico- cuantitativo, mediante un diseño de cuestionario. Lógicamente, la matriz rectangular de datos obtenida fue de carácter atributivo, conteniendo a las unidades de análisis en una columna y los valores que describen la puntuación de cada unidad de análisis (los cooperativistas) según algún atributo o variable en otras. Si bien este es un enfoque convencional para realizar estimaciones y análisis multivariados, pertinentes a los objetivos del estudio de Línea de Base, no permitía tomar conocimiento acerca de la las formas en que los productores se asocian o asociarían entre sí, al interior de cada cooperativa. Es por ello que se adoptó un enfoque relacional, utilizando la metodología del análisis de redes sociocéntricas, la cual adopta una perspectiva centrada en actores y relaciones, en vez de actores y atributos de los mismos.
La principal ventaja que proporciona el análisis de datos reticulares, en comparación a los métodos cuantitativos de encuestas tradicionales, reside en la capacidad de incorporar información relacional. Desde este enfoque se puede obtener una caracterización precisa de las comunidades bajo estudio en lo relativo a sus relaciones internas.
La utilización académica del concepto de capital social ha crecido notablemente en los últimos tiempos y comenzó a ser utilizado desde variadas disciplinas, aunque no hay acuerdo univoco en cuanto a la aplicación del mismo. Esta multiplicidad de aplicaciones y la permeabilidad en la aceptación del concepto por parte de académicos provenientes de diversos ámbitos, permitió desarrollar y ampliar el espectro analítico, manifestando los variados nodos conceptuales y problemas analíticos que conlleva su utilización, tales como el carácter individual o colectivo, sus fuentes, extensión, componentes, variables que intervienen, nivel de análisis, y la problemática acerca de la poco precisa especificidad del concepto, entre otros aspectos destacables (Millán y Gordon, 2004; Hodgson, 2015).
La discusión teórica en torno a las controversias que suscita el concepto polisémico y elástico de capital social, su génesis y devenir, o bien sus aplicaciones actuales en el campo de las políticas públicas no se desarrollará de forma extensa en este escrito. Por el contrario, enunciaremos de forma acotada el desarrollo teórico mediante el cual se operacionalizó el concepto, y proporcionaremos la definición nominal utilizada. Esta decisión obedece a la justificación del estudio, la cual es de índole metodológica, y radica en mostrar los beneficios que el diseño de este tipo de instrumento de medición, desde la perspectiva del análisis de redes sociales (ARS), puede ofrecer para describir realidades relacionales diversas y posibilitar distintas estrategias de intervención en agrupaciones de pequeños productores rurales vinculados a una actividad productiva determinada.
De acuerdo con Putnam (2000) y Woolcock (1998, 200, 2001) y buena parte de la literatura relacionada, la primera definición explícita de capital social debe atribuirse a Hanifan (1916), quien fue el primero en emplear el término de forma prácticamente literal. Inicialmente fue utilizado para referirse a la influencia que los condicionamientos sociales tienen sobre los fenómenos económicos, es decir, para dar cuenta cómo determinados tipos y cantidades de relaciones sociales influyen en la obtención de recompensas económicas. Esta visión puede rastrearse en autores como Granovetter (1973) y otros, aunque su formulación más concreta se produce a partir de los enfoques de Bourdieu (1986), Coleman (1988, 1990) y Putnam (1993), de acuerdo a Trigilia (2003), a los que agregamos los trabajos de Burt (1992, 2000).
En resumen el uso del concepto fue consolidándose dentro del ámbito de las ciencias sociales, recibiendo aportes de teóricos y metodológicos, destacándose los avances en la aplicación práctica por parte de organismos internacionales tales como Arraigada, Miranda y Pávez (2004) y Banco Mundial (2001), así como también las aproximaciones de este enfoque provenientes del área de los estudios de desarrollo y promoción en contextos de vulnerabilidad social, materializados en los aportes de Durston (1999), Atria (2003), Martínez Valle (2003) y Velázquez y Rey Marín (2007), entre otros.
En el proyecto de referencia el concepto de capital social fue entendido como la probabilidad estratégica que tienen los actores sociales para movilizar recursos en relación a vínculos establecidos. Es por ello que se procedió a definirlo como la suma de recursos potenciales integrados a una red duradera de relaciones más o menos institucionalizadas que son susceptibles de ser activadas por los individuos para acceder a dichos recursos (Cha et al., 2013).
Para poder concretar los objetivos se diseñó un instrumento de recolección de datos reticulares, a fin de obtener una matriz de datos cuadrada. Este instrumento construido a partir de la definición precedente, permitió al entrevistado identificar, de una lista completa de actores agrupados en torno a su actividad agropecuaria, productores a los que recurrió, recurre, o recurriría para conseguir determinadas metas productivas. Estas metas consistieron en aumentar el volumen de producción, mejorar el precio del producto, o bien solucionar problemas vinculados a la falta de vehículos para transportar la carga. Si bien se expuso a los entrevistados una lista exhaustiva, tanto de productores, se les enunció la posibilidad de ampliar el listado mostrado. Asimismo, se pidió a los entrevistados que otorguen puntajes de confianza, y manifiesten la probabilidad de que esa asociación se concrete, a fin de controlar sesgos de enemistad manifiesta, o bien desestimar las asociaciones con baja probabilidad de concretarse. El relevamiento de la información fue realizado de forma intencional, no probabilística, seleccionando a dos de 14 cooperativas beneficiarias. Al estar las redes circunscriptas a las cooperativas, se realizó un censo al interior de las mismas. Para la selección intencional de las dos cooperativas se recurrió a una matriz de muestreo polarizada (Vieytes, 2004), tomando como variables el tamaño y peso del producto comercializado a fin de poder comparar redes heterogéneas en cuanto a la actividad comercial, dentro de la homogeneidad que implica ser una cooperativa rural.
Las redes relevadas fueron de dos grupos de pequeños productores rurales vinculados a, por un lado, el engorde porcino (en adelante Red B), y por otro a la comercialización frutícola y florícola (en adelante Red F). Los nombres de los productores fueron reemplazados por códigos a fin de preservar sus identidades, mientras que los datos fueron se relevados en Agosto de 2014. Todos los cálculos de este trabajo fueron realizados con el software UCINET 6.0 desarrollado por Borgatti, Everett, y Freeman (2002). La decisión metodológica de relevar a estos dos grupos de productores obedeció a que cumplían con ciertos requisitos indicados para utilizar el instrumento de recolección de datos: ser una red cuyos límites puedan establecerse y delimitarse, y contar con información adicional sobre las unidades de análisis (rol dentro de la asociación, género, edad, etc.). Asimismo, se consideró necesaria la existencia de un repertorio suficiente de perspectivas de asociatividad relacionadas al producto que comercializan, a fin de obtener dentro de dos grupos homogéneos (pequeños productores rurales) suficiente heterogeneidad en las respuestas. Por ello se seleccionó una cooperativa vinculada a la producción fruti-hortícola y otra al engorde porcino.
La Tabla N° 1 muestra los casos relevados en las dos redes, diferenciando la totalidad de casos que conformaban la base censal de beneficiarios de los casos efectivos que fueron entrevistados, así como de los casos que fueron mencionados, entre los cuales se incluye a los que pudieron ser nombrados pese a no haber sido entrevistados.

Como puede verse, el tamaño de las redes es relativamente pequeño, y es por ello que deben tomarse los recaudos necesarios para el análisis de las medidas que se mostrarán a continuación. En primer lugar analizaremos los grafos multiplexados que condensan las respuestas sobre los vínculos de las tres situaciones puestas a consideración para luego hacer referencia al tamaño y densidad de las redes relevadas.
Como puede apreciarse en la Figura N°1, la red de productores B muestra características particulares, ya que en primer lugar, la mayoría de los integrantes pertenecen al género masculino, cuyos nodos han sido graficados con la forma de círculos. Los nodos vinculados al género femenino, representados por triángulos orientados hacia abajo, se ubican en posiciones periféricas, alejadas de los nodos con mayor cantidad de vínculos efectivos, los cuales pertenecen al género masculino.
A simple vista, los nodos B6, B2, B3 y B16 se encuentran en el centro de la red, y están conectados con un porcentaje considerable de la misma. Quienes forman parte de la asociación, ya sea como organizadores de los eventos (color verde), o bien como integrantes de la cooperativa (color azul), fueron identificados en todos los dígrafos exhibidos.
Buena parte de las características de esta red están asociadas a las características de la producción, en este caso la actividad de engorde porcino (Red B), que es una actividad con predominio de género masculino, por las particularidades pertinentes al volumen y peso del producto, como a su transporte.

Los integrantes jerárquicos de la asociación, ya sea como organizadores de los eventos (color verde), o bien como integrantes de la cooperativa (color azul), fueron identificados en todos los dígrafos exhibidos. En el caso de la Red B, los lazos más fuertes se concentran en el los nodos caracterizados como referentes de la organización (colores verde y azul), conformando una imagen que guarda mayor similitud al grafo típico de “estrella”, en la cual los nodos centrales vinculados a la organización irradian los vínculos, fundamentalmente el B6. Los vínculos de mayor grosor implican que el entrevistado mencionó a un mismo nodo para elegirlo en más situaciones. En el caso de la Red B, los lazos más fuertes se concentran en el los nodos caracterizados como referentes de la organización (colores verde y azul).
En cuanto a la Red F, los lazos fuertes se distribuyen de forma menos centralizada, evidenciando una mayor cantidad de nodos que conectan parte de la red. La Red F, con el agregado de todas las posibles asociaciones consultadas entre los productores, muestra una distribución de vínculos que diferente a la Red B.

Se trata de una red con mayor número de conexiones, en la cual los referentes y/u organizadores no detentan en solitario un cúmulo significativo de vínculos. Además, se diferencia en que el género femenino tiene mayor presencia que en la Red B. Por el contrario, en la Red F los lazos más gruesos se distribuyen de forma menos centralizada, tal como muestra el dígrafo de la Figura N° 2, evidenciando una mayor cantidad de nodos que conectan a gran parte de la red.
El tamaño de las redes relevadas resultó relativamente pequeño, con lo cual el cálculo de densidad solo aporta evidencia acerca del número de relaciones existentes sobre las totales posibles, indicando la potencial conectividad faltante del total de la red, aunque como indica Vega Redondo (2007), las redes completamente saturadas donde se encuentran presentes todos los lazos lógicamente posibles, son empíricamente raras, y en ciencias sociales constituyen muchas veces una peculiaridad, especialmente cuando existen más de unos cuantos actores o nodos en una población. Por ello, el cálculo de las densidades para ambas redes tomó en cuenta la totalidad de los nodos que identificamos con el propósito de obtener mayores dimensiones de las medidas de la red.
Como puede verse en la Tabla N° 2, el valor promedio de la Red B para los vínculos ponderados es de 7,78%. Para la Red F, dicho valor es de 9,51%, lo que indica una densidad ligeramente mayor, aunque también lo es el desvío estándar. De todas formas, la mayor densidad de la Red F en este sentido se debe a que cuenta con una menor cantidad de nodos aislados, que son los productores que dejaron de vincularse con el resto o que no fueron mencionados ni mencionaron a alguno otro.

Al eliminar del cálculo a los nodos aislados la densidad de la Red B fue de 20,6% mientras que la Red F fue de 11,8%. Esto responde a que en el recurso del vehículo para el transporte, solo se manifestaron dos asociaciones en la Red F. En ambas redes se detecta una baja densidad, lo que sugiere que pueden estimularse mayores conexiones al interior de las mismas.
Al poseer más vínculos, muchos actores pueden beneficiarse de esa posición, ya sea como intermediarios o como nodos por donde la información fluye (centralidad de grado de Freeman). Esta medida suele ser efectiva para medir el poder potencial de un actor (Hanneman y Rieddle, 2005). En este sentido, el cálculo de centralidad nos muestra cuáles son los productores que tienen mayor cantidad de vínculos.
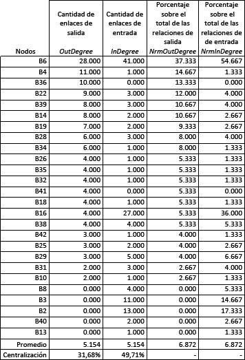
De los datos obtenidos resulta que la Red B presenta pocos nodos con un alto grado nodal. Al tratarse de vínculos dirigidos, se pueden obtener valores para los vínculos de entrada (InDegree) y salida (OutDegree). De acuerdo la Tabla Nº 3, en la Red B (de aquí en adelante, las tablas y cálculos se realizaron eliminando a los nodos aislados), el nodo B6, consignado como el referente de la organización, concentra la mayor cantidad de vínculos efectivos, con 28 conexiones que mencionó en total para las tres situaciones planteadas, y 41 conexiones de otros nodos que se vinculan o vincularían con él para esas tres situaciones.

Al analizar los valores del grado normalizado (nrmDegree), se observa que el nodo B6 se encuentra altamente conectado, tanto en los valores de salida como de entrada (37,3% y 54,6%). Además, cabe destacar que el nodo B16 registró un valor alto (36%), muy por encima del promedio, para los valores normalizados de entrada, mientras que el resto de los referentes (nodos B2 y B3) registraron porcentajes de menor magnitud (17,3% y 14,6% respectivamente) en cuanto al porcentaje de conexión (NrmInDegree).
Si analizamos cómo se distribuye el grado de centralidad entre los nodos, podemos afirmar que, los actores de la Red B, para la totalidad de las situaciones planteadas y eliminando los nodos aislados, tienen 5,1 vínculos en promedio, lo cual es bajo, teniendo en cuenta que solo han sido considerados para el cálculo los nodos que hayan mencionado a algún otro. Esto implica que en promedio no se mencionaron a 21 nodos posibles.
En dicha tabla podemos ubicar a nueve nodos que obtuvieron valores de grado de salida mayores al promedio (B6, B4, B36, B22, B39, B14, B19, B28 y B34), de los cuales los tres primeros (B6, B4, y B36) registraron valores mayores a un dígito. Dichos nodos pueden ser considerados como los más influyentes. De ellos, solo el B6 forma parte de la organización, siendo el máximo referente. Por el contrario, los nodos B6, B16, B2 y B3 fueron quienes registraron valores más altos, con respecto al promedio, en lo referido a la cantidad de vínculos de entrada. Estos nodos sí son parte de la organización. Por ende el nodo B6 fue quien mayor cantidad de vínculos asignó y recibió de la totalidad de la red, la cual se asemeja a la forma de estrella, según los valores de centralización.
En la Red F (Tabla N° 4) los vínculos se repartieron entre más actores, no necesariamente vinculados a la organización. Los promedios resultaron un punto más bajos que los se la Red B. Sin embargo la centralización de salida y de entrada resulto también más baja, lo que implica que la Red F se aproxima a un grafo de tipo circular, donde el poder se distribuye más equitativamente.
Los nodos F13, F31, F15, F36, F22, F33, F28, F21 y F30 son los que tienen grado de salida mayor al promedio, y por ello son los más influyentes. Sólo el nodo F15 fue caracterizado como miembro de la organización, mientras que a él se le suman los nodos F6 y F16 como los que registraron valores (de entrada) por encima de un solo dígito. De ellos, el F15 y F6 forman parte de la organización, lo que los ubica en una posición de influencia por sobre el resto, siendo el nodo F15 es el que registró mayor cantidad de enlaces (salida y de entrada).

Los valores de centralización se alejan del 100%, indicando que las posiciones estructurales de los nodos en la red son más homogéneas y menos desiguales que en la Red B.
La medida de cercanía permite medir la capacidad de un actor para poder llegar a todos los demás nodos de una red, calculando todas las distancias geodésicas que un nodo necesita para llegar a los demás.

El nodo B6 de la Red B (Tabla N° 5) es el más cercano a los demás, y por ende el menos lejano, estando en una posición privilegiada para acceder al resto de los nodos. Dicha posición estructural ventajosa es ostentada casi en exclusividad por el nodo señalado. Por el contrario, si analizamos los valores obtenidos para la Red F (Tabla N° 6) se observa que no hay una diferencia de cercanía /lejanía significativa entre los nodos.

El índice de centralización basado en el cálculo de cercanía indica que la Red B arrojó un valor de 83,2%, mientras que la de la Red F fue de 30,8%. Este índice de centralidad muestra un substancial grado de concentración en toda la Red B, ya que, cuanto más cerca se encuentre el porcentaje al del caso típico de “estrella” (100% que es equivalente a la máxima posible concentración, donde un actor central acapara las conexiones), más desigualdad será su distribución. Es entonces que la Red F evidencia una distribución mucho más equitativa que la B.
Otra medida relevante es la centralidad de grado de intermediación (Freeman), que presta utilidad para conocer la ventaja posicional (posición favorable) de un actor en la medida en que éste está situado entre los caminos geodésicos de otros pares de actores en la red. Esto equivale a decir que cuanta más gente dependa del nodo A para hacer conexiones con otros nodos, más poder tendrá este. Por el contrario, si dos nodos están conectados por más de un camino geodésico, y el nodo A no está en todos ellos, este último pierde poder.
De la Tabla Nº 7, surge que el nodo B6 es el más poderoso, en el sentido de estructuralmente es entendido como el que “hace” que sucedan los eventos al obtener un valor de intermediación superior al resto de los nodos. La normalización de la intermediación (nBetweenness), que expresa el porcentaje del grado máximo posible de intermediación que un actor pueda tener, para el nodo B6 es del 55%. La centralización de toda la red, la cual es media- alta (54%) implica que hay poder de la intermediación en la red, y este está concentrado mayoritariamente en un nodo en particular.

En cuanto a la centralidad de intermediación de la Red F (Tabla N° 8), la misma es notablemente más baja que la Red B (3,1%), lo que indica que la Red F en su conjunto no posee estructuralmente demasiado poder de intermediación. Si analizamos individualmente a los nodos, puede notarse como el F15 es el que mayor poder de intermediación obtuvo si se lo compara con el resto. Dicho nodo es parte de la organización, mas no fue señalado como el referente máximo por los demás entrevistados. Si analizamos individualmente a los nodos, puede notarse como el F15 es el que mayor poder de intermediación obtuvo si se lo compara con el resto. Dicho nodo es parte de la organización, mas no fue señalado como el referente máximo por los demás entrevistados. Otro nodo que puede caracterizarse como influyente, y que forma parte de la organización, aunque en menor medida, es el F36. El resto de los actores que registraron valores de intermediación e intermediación normalizada por encima de sus respectivos promedios fueron los nodos F2, F33, F31, F21, F8, F27, F14 y F1. En términos comparativos, la Red F presenta un poder de influencia de intermediación marcadamente menor que la Red B, en la cual se observó un nodo particular (B6) con un alto grado de influencia en este tópico por sobre los demás.

La forma en la que se analizan las subestructuras de la red es mediante la denominación de grupos, subgrupos y cliques. Las relaciones diádicas, tríadicas, o círculos egocéntricos pueden pensarse como subestructuras de la red, las cuales en definitiva, terminan formándola mediante pequeños componentes cohesionados, siendo un tipo de aproximación de abajo hacia arriba (Hanneman y Rieddle, 2005). En ese sentido, el término clique se vuelve central, siento éste un sub-grafo en el que cada vértice está conectado a cada otro vértice del grafo, o lo que es equivalente, siendo un subconjunto en el cual los actores están más cerca y conectados mutuamente, de manera más intensa de lo que lo están respecto a los otros nodos de la red.
Al aplicar la definición de clique a las dos bases, correspondientes a las redes relevadas, obtenemos resultados que aportan información acerca de las “camarillas” (o grupos) que pueden identificarse al interior de las mismas. A continuación se muestran los resultados para ambas redes, especificando las consideraciones metodológicas que tuvieron que tomarse en cuenta para cada situación en particular. La mayoría de estos cálculos, o algoritmos, utilizados para definir cliques, N- cliques y/o N- clanes, requieren que las matrices contengan datos simétricos y binarios, de modo que se procedió a efectuar dichas transformaciones, razón por la cual se trabajó con vínculos no orientados, cuyos valores están compuestos por 0 o 1.
En este sentido es importante destacar también la imputación de la cantidad mínima (por defecto, de 3 nodos como mínimo) de actores que componen una de estas camarillas. Al analizar la cantidad de cliques de la Red B, solicitando al programa que calcule la cantidad con un tamaño mínimo de 3 integrantes por clique, se obtuvieron 21 cliques posibles bajo esta definición, dentro de los cuáles se repite el nodo B6 en 20 oportunidades, siendo el nodo consignado como el referente de la organización. El nodo B16 se encontró en 12 de los 21 cliques, y en menor medida el nodo B2, en 4 oportunidades (Tabla N° 9).
Lo más relevante que surge de este cálculo es que los nodos más destacados, y que son parte de la organización, tienen una participación destacada en casi cualquier clique de al menos 3 integrantes que pueda formarse tomando en cuenta la totalidad de las menciones que fueron efectivizadas para todas las situaciones planteadas en su conjunto.
En el caso de la Red F sucede algo similar al solicitar al programa que calcule la cantidad de cliques máximos posibles con un mínimo de 3 integrantes. En efecto, como puede observarse en la Tabla Nº 10, la cantidad de cliques para la Red F, teniendo en cuenta la totalidad de las situaciones planteadas con datos binarios no orientados, es de 22. Entre ellos se destaca una composición mucho más heterogénea en comparación a los datos obtenidos para la Red B.
El nodo F15, el cual forma parte de la asociación, participa de 8 cliques posibles teniendo en cuenta como mínimo la cantidad de 3 integrantes, mientras que el F2 lo hace en 7 cliques. Este último no fue señalado por los respondentes como integrante de la organización. Los restantes que sí forman parte de la misma (F6 y F36), participan en 4 de estos cliques.

Si nos fijamos en los cliques que contienen una como mínimo cuatro nodos, la cantidad de cliques que pueden obtenerse en la Red B disminuye drásticamente, resultando solo cinco cliques posibles.
Comparativamente podemos inferir que tanto en la Red B como en la Red F existen cantidades de cliques similares (21 y 22 respectivamente, teniendo en cuenta como punto mínimo que estén conformados por al menos tres nodos), pero cuya composición interna es distinta. Mientras que en la Red F se hallan nodos con una participación en los cliques más distribuida, destacándose nodos que no forman parte de la asociación, en la Red B el nodo señalado como referente de la organización participa en 20 de los 21 sub-grafos máximos posibles. De ellos, sólo uno está conformado por cinco nodos, y el resto por cuatro. Se destacan los nodos B6 y B16, que están presentes en los cinco cliques, mientras que el nodo B2 participa de tres de ellos. Estos tres nodos, tal como dijimos anteriormente, fueron señalados como integrantes de la asociación que organiza los eventos.

En el caso de la Red F, al aumentar la cantidad mínima de miembros a cuatro, se obtuvieron tres cliques, integrados por cuatro nodos cada uno, tal como puede verse en la Tabla Nº 10. Los nodos F6 y F15 que fueron señalados como integrantes de la organización, participan en los tres subconjuntos, así como el nodo F33, el cual no fue señalado como partícipe de la organización de los eventos. Los nodos F13, F28 y F31 tuvieron participación cada uno en alguno de los tres cliques. En síntesis, en ambas Redes se detectaron pocos cliques formados por más de tres nodos, entre los cuales se torna relevante la presencia de integrantes de las asociaciones.
A la luz de los datos obtenidos se concluye que, mediante la descripción y comparación de estas redes, sus nodos y el análisis de sus principales medidas, pueden optimizarse los recursos destinados a la comunicación institucional y la intervención en materia de políticas públicas en entornos rurales, identificando características intrínsecas de sus integrantes, así como características estructurales de la red en su conjunto.
La metodología utilizada para describir la forma en que fluyen las relaciones y asociaciones en estos entornos rurales determinados, ha sido provechosa ya que se ha podido caracterizar, describir y diferenciar a dos redes con el mismo instrumento. De esta forma, la toma de decisiones se ve beneficiada al disponer de información específica, que permite detectar la necesidad de fortalecer vínculos, así como la posibilidad de identificar nodos que centralizan la intermediación y los recursos, o que pueden potenciar y/o facilitar una mejor circulación de éstos. A través del análisis de las medidas obtenidas se pudo evaluar cuales eran los grupos que pueden requerir un mayor fortalecimiento en cuanto a la implementación de beneficios, capacitaciones y/o comunicaciones relacionados a planes y programas sociales, fundamentalmente en agrupaciones rurales pequeñas. Asimismo a partir del análisis de la densidad de las redes pudo determinarse si las mismas presentaban un potencial latente de conectividad no explotado, como sucedió en este caso.
Desde luego quedan abiertos para la discusión nuevos interrogantes y limitaciones halladas, tales como el pequeño tamaño las redes relevadas (y la consecuente imposibilidad de generalizar resultados), la intencionalidad del investigador en las dos redes relevadas, y la dificultad que presenta este instrumento para abarcar agrupaciones de mayor tamaño y dispersas. Asimismo, consideramos necesario como paso a seguir, incorporar el análisis longitudinal de estas mismas redes, con nuevas intervenciones en terreno, a fin de mejorar el instrumento, ajustar teoría y ampliar escenarios posibles. También creemos necesario incorporar nuevas y distintas redes relacionadas a otras actividades productivas, y medir la vinculación de los nodos con instituciones diversas (públicas y privadas), a fin de establecer vínculos entre las mismas y las distintas morfologías que adoptan los nodos y en cuanto a su relación con la esfera pública y productiva.
Arraigada, I., Miranda, F., y Pávez, T. (2004). Lineamientos de acción para el diseño de programas de superación de la pobreza desde el enfoque del capital social. Guía conceptual y metodológica. Santiago: Publicación de las Naciones Unidas.
          Atria, R. (2003) “Capital social: concepto, dimensiones y estrategias para su desarrollo”, en Atria, R.; Siles, M.; Arriagada, I.; Robinson L. y Whiteford S. (comp.) Capital social y reducción de la pobreza en América Latina y el Caribe: en busca de un nuevo paradigma. Santiago: Libros de la Cepal. pp. 581-590.
          Banco Mundial (2001) Informe sobre el desarrollo Mundial 200/2001: lucha contra la pobreza. Nueva York: Oxford University Press.
          Borgatti, S.P., Everett, M.G. and Freeman, L.C.( 2002). Ucinet for Windows: Software for Social Network Analysis. Harvard, MA: Analytic Technologies.
          Bourdieu, P. (1985). The Social Space and the Genesis of Groups. Theory and Society 14 (6), 723-744.
          Burt, R.S. (1992). Structural holes: The social structure of competition. Cambridge: Harvard University Press.
          Burt, R.S. (2000). The network structure of social capital. Research in Organizational Behaviour, 22, 345-423.
          Cha, N., Díaz, C., Pérez Bruno, M. L. y Quintana, G. (2013). “Capital social: una aproximación empírica desde una perspectiva de análisis de redes”. Ponencia presentada en el XXIX Congreso Latinoamericano de Sociología, ALAS Chile 2013, Santiago.
          Coleman, J. (1988). Social Capital in the Creation of Human Capital. American Journal of Sociology, 94, 95-120.
          Coleman, J. (1990). Foundations of Social Theory Cambridge: Harvard University Press.
          Durston, J. (1999), Construyendo capital social comunitario. Una experiencia de empoderamiento rural en Guatemala, serie Políticas sociales, Nº 30 (LC/L.1177).
          Granovetter, M. S. (1973). The strength of weak ties. American Journal of Sociology, 78 (6), 1360-1380.
          Hanifan, L.J. (1916). The Rural School Community Center. Annals of the American Academy of Political and Social Science, (67), 130-138.
          Hanneman, R. A. y Riddle, M. (2005). Introduction to Social Network Methods. Riverside: University of California. Disponible en http://faculty.ucr.edu/~hanneman/ 
          Hodgson, G.M. (2015). Conceptualizing capitalism: institutions, evolution, future. Chicago: University of Chicago Press.
          Martínez Valle, L. (2003). Capital social y desarrollo rural. Iconos, Revista de Ciencias Sociales, (16), 73-83.
          Millán, R., y Gordon, S. (2004). Capital Social: una lectura de tres perspectivas clásicas. Revista Mexicana de Sociología, 66 (4), 711-747.
          Putnam, R. (1993). Making democracy work. Princeton: Princenton university Press.
          Putnam, R. (2000). Bowling Alone. New York: Simon & Schuster.
          Trigilia, C. (2003). El Capital Social. Instrucciones para su uso. Buenos Aires: Fondo de Cultura Económica.
          Vega-Redondo, Fernando (2007). Complex Social Networks. United States of America. Cambridge University Press.
          Velázquez, A. y Marín, L. R. (2007) El valor agregado de las redes sociales: propuesta metodológica para el análisis del capital social. Redes. Revista Hispana para el Análisis de Redes Sociales, 5 (13), 1-21.
          Vieytes, R. (2004) Metodología de la investigación en Organizaciones, Mercado y Sociedad. Epistemología y técnicas. Buenos Aires: De las Ciencias.
          Woolcock, M. (1998). Social Capital and economic development: Towards a theoretical synthesis and policy framework. Theory and Society, 27, 151-208.
          Woolcock, M. (2000). “Social Capital in Theory and Practice: Where do we stand?” Development Research Group. The World Bank.
          Woolcock, M. (2001). La importancia del capital social para comprender los resultados económicos y sociales. Disponible en: http://preval.org/documentos/00489.pdf.