En este trabajo se sostiene que durante la segunda mitad de la década de 1990 se desarrolló un proceso de pérdida de valor de las credenciales educativas de los trabajadores con nivel de estudios secundario completo o mayor. Como a su vez en el período se incrementó la desigualdad salarial se sostiene que lo que se observa es un fenómeno de dos aristas: de devaluación educativa y segmentación del mercado de trabajo. Para realizar estas afirmaciones se utilizan regresiones lineales múltiples para el cálculo de premios salariales. Dado que la fuente utilizada es una muestra y el universo es pequeño se utilizan pooles de datos para ampliar la cantidad de muestra disponible y mejorar las estimaciones. Se desarrolla una metodología cuyo objetivo es poder decidir desde el punto de vista estadístico si los pooles de datos pueden ser utilizados o no en cada problema de trabajo y como trabajar con ellos, y así poder utilizar los recursos disponibles bajo el control de métodos estadísticos.
El estudio de los docentes como colectivo laboral en Argentina puede ser realizado con precisión a partir de los Censos Nacionales de Docentes. Estas fuentes de información son específicas del sector educativo y, por lo tanto, las más idóneas para la caracterización detallada de los cargos, horas, funciones, trayectorias y formación de los docentes. Sin embargo, sus principales limitaciones son la periodicidad decenal y las dificultades para comparar a los docentes con otros grupos laborales. La Encuesta Permanente de Hogares, fuente diseñada para caracterizar y monitorear la inserción laboral de la población, permite suplir las limitaciones mencionadas en el estudio de los ocupados en las actividades de enseñanza. Sin embargo, tiene ciertas características y limitaciones que resultan importantes tener en cuenta al utilizarla para estudiar el colectivo docente. Este artículo analiza la fuente en cuanto sus potencialidades para el estudio de este grupo laboral. Concluye que es consistente para el estudio de la evolución del empleo docente.
El artículo está centrado en la discusión de aspectos metodológicos de la investigación de tesis de la autora. En el campo de los estudios sobre la distribución personal del ingreso y los mercados de trabajo resulta habitual el análisis de la regresión del ingreso personal contra diversos atributos de los perceptores y sus ocupaciones. Este análisis tiene por requisito la resolución de cuestiones referidas a: la definición del modelo en que estará basado, el tratamiento que se dará a los casos sin información y los procedimientos mediante los que se evaluará y, eventualmente, corregirá la influencia de los casos extremos sobre los parámetros estimados. El artículo refiere qué decisiones fueron tomadas en la investigación a este respecto, fundamentando las razones y describiendo su impacto sobre los resultados obtenidos.
El presente artículo tiene como objetivo presentar las diferentes perspectivas y usos de los indicadores, por un lado, desde las ciencias sociales y por otro desde lo que se denominó “Movimiento de Indicadores Sociales”. En términos generales, el uso de los indicadores ha sido utilizado desde el enfoque de las ciencias sociales para medir empíricamente conceptos teóricos que permitan el abordaje empírico a los fenómenos sociales. Sin embargo, los indicadores son también utilizados desde una perspectiva más pragmática, principalmente por los organismos de estadística y organismos internacionales. A través del artículo se presentan los diferentes recorridos realizados por las perspectivas mencionadas. En la primera parte se describe la medición empírica de conceptos a través de indicadores en los principales referentes de las ciencias sociales. En la segunda parte se describe el contexto de surgimiento y el desarrollo de lo que se denominó “Movimiento de Indicadores Sociales” como otra forma de aproximación al estudio de la realidad social a través de indicadores. En la tercera se problematiza las diferencias de ambas perspectivas en cuanto a los objetivos y el método que utilizan y se presenta como conclusión la importancia de vincular ambas perspectivas.
El presente trabajo intenta explorar la creciente importancia que los estudios de opinión pública han comenzado a tener durante las últimas décadas. En este sentido, se busca brindar un aporte a la investigación dentro de una actividad que siempre ha estado más bien alejada del ámbito académico, en especial en los estudios relacionados con los procesos electorales. Asimismo, el trabajo intenta develar la notable injerencia que los medios de comunicación tienen en los procesos electorales de los últimos años, demostrándose que se trata de una tendencia que va tomando cada vez más impulso. Finalmente, se analizaran cuestiones que resultan un aporte para diagnosticar los cambios en las percepciones de la ciudadanía durante la etapa previa y posterior a una elección.
El trabajo presenta la construcción de un índice que tiene como finalidad asignar a cada hogar urbano de la República Argentina un nivel socioeconómico. Se piensa al índice como una variable latente (no observable) y se aplica el análisis de correspondencia múltiple, método exploratorio de estadística multivariada, para obtener los ponderadores (pesos) de las modalidades de las doce variables seleccionadas.
El índice se compone de variables relativas a las características de la vivienda, la condición laboral y educativa del jefe de hogar y del cónyuge. La metodología se aplica a la Encuesta Nacional de Gasto de los Hogares 2012/2013 (Instituto Nacional de Estadísticas y Censos). Una vez estimados los puntajes de la variable latente para los hogares urbanos, se establecen los quintiles socioeconómicos y se asigna a cada hogar un quintil. Finalmente, se analizan las características de cada uno de los quintiles obtenidos y se indican las fortalezas y limitaciones de la metodología.
En este artículo se analizan las orientaciones de futuro laboral y educativo de los estudiantes que a fines de 2008 cursaban el último año de estudio en las escuelas estatales de la Ciudad Autónoma de Buenos Aires. En primer lugar, se describen las orientaciones de futuro hallándose una prevalencia de proyectos educativo-laborales entre los estudiantes y una anticipación de obstáculos que resulta más pronunciada en el plano laboral que en el educativo. Luego, mediante un análisis de regresión logística multivariada, se compara la influencia relativa de distintos atributos sociales, escolares, biográficos y de la oferta educativa sobre los objetivos de tipo profesional. Entre los principales resultados se halla que las diferencias de género muestran contundencia en la priorización de un objetivo profesional. La modalidad del plan de estudios también emerge como un aspecto clave en los horizontes de futuro, observándose un hiato entre la formación bachiller-comercial y la técnica, donde prevalecen expectativas de inserción laboral directa luego del egreso. Otro hallazgo es que en el plano educativo los horizontes de profesionalización adquieren una difusión más amplia e independiente del origen social educacional, como reflejo de un contexto donde están dadas ciertas condiciones para el acceso masivo a la educación superior. Por otra parte, en el trabajo se enfatiza la importancia de considerar la complejidad del diseño muestral en la instancia de análisis de los datos. Para ello se comparan los resultados obtenidos con estimadores que consideran la complejidad de diseño muestral con otros “naive”, reflexionando acerca de las implicancias epistemológicas que esto conlleva en la puesta a prueba de hipótesis en el análisis bivariado y multivariado.
En la actualidad el delito y la punición son analizados desde diferentes enfoques, ya que además de estar en crisis son temas a los cuales se les busca encontrar respuestas y soluciones. Es sabido entre los expertos que estudian estos tópicos que dentro de las cárceles la población es mayoritariamente joven, con bajos niveles de educación y provenientes de clases socioeconómicas medias/bajas y bajas, caracterizadas, entre otras cosas, por los bajos niveles de ingreso.
Teniendo en cuenta estas características podría pensarse que la vinculación explicativa de una conducta delictiva está dada por la asociación entre la condición de pobreza de un hogar y/o de sus integrantes y las probabilidades de comisión de delitos y la reincidencia en los mismos. Sin embargo, en este documento proponemos la existencia de una relación mucho más compleja. Por lo tanto, cabe preguntarse en relación al delito y a la reincidencia en el mismo, ¿qué tan asociados están esos factores a quienes incurren nuevamente en una conducta delictiva y al nivel de violencia al momento de perpetrar un delito?, finalmente, ¿qué factores son estos?
Para responder a estas preguntas se realizó un modelo de análisis multivariado basado en una regresión logística, en el cual se incorporaron variables relacionadas con los entornos o contextos de socialización temprana de los sujetos así como la trayectoria en instituciones como los institutos de menores. Los datos utilizados pertenecen a la Encuesta a Población en Reclusión de 2013, en la cual para Argentina se aplicaron más de mil encuestas personales a presos condenados por la justicia federal y ordinaria de la Capital así como por la justicia de la Provincia de Buenos Aires. Cabe destacar, además, que este fue un estudio que abarcó un conjunto de otros cinco países de la región: Brasil, Chile, El Salvador, México y Perú.
Este artículo trata acerca del empleo de la regresión logística binaria para la construcción de un grupo de comparación útil para la evaluación de impacto de un programa social. Se basa en una experiencia de aplicación real de tal procedimiento.
En la primera parte se aborda brevemente la problemática que plantea la implementación de diseños puramente experimentales en el caso de la evaluación de políticas públicas de contenido social y la alternativa de emplear modelos cuasi experimentales con un grupo de comparación construido estadísticamente. También se ponen en consideración algunas cuestiones inherentes a los diseños con doble medición, al tiempo que se abordan las dificultades que plantea la frecuente ausencia de una línea de base en el caso de los programas sociales. Asimismo, se explicitan los requisitos que debieran cumplimentar los grupos de comparación construidos mediante modelación estadística.
La segunda parte se refiere a las características del procedimiento estadístico empleado (la regresión logística binaria) y su utilidad específica para la obtención de grupos de comparación, con las limitaciones e inconvenientes que plantea, las alternativas posibles para sortearlos y los recaudos a adoptar. Finalmente, en la última parte se exponen los resultados provenientes del ejemplo de aplicación de este procedimiento conjuntamente con la interpretación de los mismos.
El conocimiento de la superficie sembrada con cultivos extensivos es de relevancia estratégica para el país y necesita ser estimada en forma objetiva dos veces al año para las principales Provincias Argentinas. El método aquí propuesto es el de observar –con el significado literal de la palabra- una muestra de segmentos que se definen, como relativamente pequeñas áreas que toman la forma de polígonos rectangulares, sin consultar a los dueños de las tierras, a los productores ni a ninguna persona relacionada con las explotaciones que contiene el segmento.
La selección original es de puntos aleatorios dentro de estratos de uso homogéneo del suelo, que luego se los transforma en segmentos. Es obvio que gran parte de los puntos caerán en lugares que no se pueden acceder con un vehículo y para poder llevar a cabo la observación es necesario trasladar el punto hasta el camino más próximo y allí conformar el segmento. Desde el punto de vista de la teoría del muestreo se reconoce que el procedimiento de trasladar origina un sesgo el cual es un error no debido al muestreo.
La contrapartida es que el método tiene importantes ganancias, entre ellas: a) muy alta confiabilidad de los datos por provenir de observaciones “in situ” hechas por expertos, b) no hay error en la medida de las superficies por utilizar tecnología satelital, c) una vez definido el segmento el Sistema de Posicionamiento Global (GPS) permite controlar el operativo y anula el error de ubicación de los segmentos en futuros operativos, d) las muestras son altamente comparables en el tiempo, e) los resultados se obtienen en breve tiempo, en general no más de tres meses, f) reducción notable del presupuesto al no existir revisitas.
El método incorpora nuevas tecnologías, entre ellas: imágenes satelitales, Sistemas de Información Geográfica (GIS), el GPS, el uso del Índice de Vegetación de Diferencia Normalizada (NDVI), programas de procesamiento de la información y protocolos estrictos de procedimientos.
Este trabajo mide la eficiencia en la producción de las PyME industriales argentinas a partir de la productividad total de los factores, para el período 2005-2011, utilizando datos a nivel empresa, y aplicando el enfoque Análisis Envolvente de Datos (DEA por sus siglas en inglés) basado en el trabajo de Farrell (1957) y las extensiones introducidas por Charnes et al (1978) y Banker et al (1984). Se busca generar un aporte desde el punto de vista metodológico, como antecedente en lo referido a cómo puede medirse la eficiencia de las PyME industriales argentinas en base a información estadística disponible, y explorar cuáles son los factores determinantes de la misma, ya que hasta el momento hay un vacío de información en este sentido. A partir de esto, se explora la asociación de este nivel de eficiencia con factores exógenos a las empresas o internos a las mismas como potenciales determinantes del mismo. Se encuentra que las PyME localizadas en las regiones del país de mayor desarrollo relativo y concentración de la actividad económica tienen un nivel de eficiencia en promedio mayor al resto. Mientras que, sorprendentemente, no hay evidencia suficiente para suponer que el sector de actividad de pertenencia está relacionado con el nivel de eficiencia en la producción. Por otro lado, contrariamente a lo esperado, las empresas más grandes, que exportan, y que solicitan y obtienen créditos bancarios, registran en promedio menores niveles de eficiencia que el resto, aunque esto podría explicarse por el hecho de que estas firmas están más capitalizadas, lo que, al incrementar su dotación del factor de producción capital, impacta negativamente en su eficiencia técnica de producción.
En el presente artículo se exponen aspectos analíticos y metodológicos de la aplicación de diversas técnicas de análisis de datos multivariados empleadas en una investigación sobre salud sexual y reproductiva y educación sexual. Se propone la categoría de escenarios complejos como construcción analítica que permite poner en vinculación concepciones, creencias y actitudes sobre sexualidad, diversidad sexual, género y aborto en base a un relevamiento por encuestas estructuradas en mujeres y varones adolescentes escolarizados en el nivel medio de Argentina realizado durante el segundo semestre del 2012. Dicho relevamiento tuvo como propósito principal indagar y explorar las formas en que determinadas concepciones sobre la sexualidad y el género de los alumnos se vinculan con modelos de educación sexual, las temáticas priorizadas en dichos abordajes, las formas en que se establecen los vínculos con docentes y adultos, los vínculos afectivos intrageneracionales, y las instancias de subjetivación juvenil. Se aplicaron una serie de técnicas estadísticas multivariadas: análisis de componentes principales, análisis de cluster por el método de K-medias y, fundamentalmente, el análisis de correspondencias múltiples para la generación de los escenarios complejos.
La elección a Presidente en Argentina de 2011 tuvo como ganadora a la candidata por el Frente para la Victoria Cristina Kirchner con una amplia diferencia respecto al segundo. El triunfo de la candidata tiene diferentes explicaciones causales desde el punto de vista de las motivaciones del voto por parte del electorado. A través de la presente investigación se intenta identificar las variables condicionantes y jerarquizarlas. Las características socio demográficas del ciudadano no tienen la influencia de otros momentos. En cambio, variables relacionadas con la gestión, el posicionamiento de los candidatos y el vínculo entre Néstor Kirchner y su esposa adquieren mayor protagonismo como condicionantes del voto.
El triunfo de Mauricio Macri en la elección presidencial de 2015 también tiene sus explicaciones causales. Sin entrar en la profundidad de la elección de 2011, se encontraron aspectos ideológicos y vinculados al consumo como elementos motivadores del voto.
Este trabajo analiza tanto los antecedentes como las características actuales del sistema de información estadística del sistema educativo argentino. Se plantea también el camino futuro de este sistema, teniendo en cuenta los cambios tecnológicos que tuvieron lugar en nuestro país en los últimos años.
Actualmente, el sistema nacional de información educativa está basado, principalmente, en el Relevamiento Anual, operativo censal que recoge con un corte anual la información consolidada a nivel nacional sobre las principales variables del sistema educativo, exceptuando las universidades. Este sistema garantiza una información homogénea y comparable para todo el ámbito nacional.En la actualidad el sistema de información educativa enfrenta nuevos desafíos producto de un sistema educativo complejo y en constante transformación. Además, el Relevamiento Anual presenta varias limitaciones y solo permite analizar en forma parcial los nudos críticos del sistema educativo. Para paliar estas limitaciones, durante los años 2013 y 2015, se desarrolló un Sistema Integral de Información Digital Educativa —SInIDE—, basado en información nominal de los alumnos. Este nuevo sistema articula y compatibiliza los requerimientos de información de las distintas instancias de gestión en los niveles nacional y jurisdiccional y permite que las instituciones educativas desarrollen a través de este sistema sus propios procesos administrativos y pedagógicos. Su potencialidad radica en la posibilidad de acelerar todos los procesos y de recoger datos adicionales para diagnosticar el funcionamiento del sistema educativo y las trayectorias educativas de los alumnos, tanto a nivel de los establecimientos como a nivel provincial o nacional. Además, permite la construcción de nuevos indicadores para evaluar la situación del sistema educativo en todo el país, fortaleciendo las políticas que se llevan a cabo en el marco de la Ley de Educación Nacional.
Este trabajo muestra los resultados mediante la aplicación de un instrumento de recolección de datos reticulares para un estudio de línea de base y evaluación de políticas públicas en entornos rurales, a fin de describir, medir y comparar las formas de las asociaciones entre los agentes involucrados de dos cooperativas.
Los objetivos de la ponencia radican en describir y caracterizar las redes de asociaciones de pequeños productores rurales en un contexto social delimitado, y evaluar la viabilidad de complementar los análisis estadísticos cuantitativos tradicionales con la metodología del análisis de redes sociocéntricas, para focalizar las formas de intervención y detectar asociaciones latentes y potenciales.
Los resultados obtenidos al aplicar este instrumento en dos agrupaciones de pequeños productores rurales del Noroeste argentino, beneficiarios de un programa social en el año 2014, muestran dos grafos multiplexados diferenciados. Mientras que en la primera red la forma de las asociaciones para movilizar recursos estratégicos se encuentra restringida por la autoridad de los referentes de la organización, en la segunda se observa una distribución más equitativa y menos autoritaria de los vínculos, así como una intermediación menos centralizada.
Se concluye que esta metodología ha sido adecuada para describir las fuerza, dirección y circulación de las relaciones entre los nodos de las agrupaciones relevadas, así como la existencia de asociaciones potenciales que no sean efectivizado. De esta forma la toma de decisiones se ve beneficiada al disponer de información específica, que permite detectar la necesidad de fortalecer vínculos, así como la posibilidad de identificar nodos y subgrupos que centralizan la intermediación y los recursos o que pueden desarrollar una mejor circulación de los mismos a causa de sus posiciones estratégicas en las redes.
El artículo presenta una metodología para la reconstrucción de las series del Nomenclador de Condición Socio-Ocupacional y el esquema de clases de Torrado a lo largo del período 1980-2001, durante el cual los cambios en los sistemas clasificatorios de las variables involucradas en su construcción presentaron importantes cambios. Se utilizaron los datos secundarios del estudio “Estructura Social Argentina” del Consejo Federal de Inversiones para el censo de 1980 y los datos publicados por el Instituto Nacional de Estadística y Censos de los censos de población de 1991 y 2001, para el Total del País.
La investigación aborda tanto las cuestiones metodológicas enfrentadas a la realidad de la oferta estadística en Argentina así como también aspectos teóricos sobre la temática de la estructura social. Se realiza un detallado análisis de las fuentes existentes que permiten la construcción de series lo más homogéneas posibles en términos metodológicos con el objetivo de que muestren los cambios de la estructura social entre fines de los cuarenta y la actualidad. Se analizan también los resultados alcanzados. En lo que hace a este aspecto, sin embargo, la profundidad de la indagación es menor.
El aporte permite continuar y armonizar, con las dificultades y advertencias metodológicas que implica, los trabajos de Germani (1955) y Torrado (1992) y el análisis de la estructura social Argentina según datos secundarios cuantitativos.
Palabras clave: Condición Socio-Ocupacional; clases sociales; censos de población; estructura social argentina; mercado de trabajo; ocupación; empleo.
Las trayectorias de vida de las personas se hallan influidas por la estructura de oportunidades del contexto, por el bagaje de recursos heredados o adquiridos, así como por los deseos y las expectativas con respecto a su porvenir. Es por esto que conocer cómo las personas piensan el futuro –en general y en el terreno personal- permite dar cuenta de representaciones que posiblemente graviten en sus cursos de vida (Nurmi, 1991). Independientemente de que la concreción de las aspiraciones se vea luego facilitada o restringida por condiciones objetivas que van mediando entre las expectativas y los logros, las visiones acerca del futuro cobran relevancia en tiempo presente, como autoatribuciones de los horizontes de posibilidad. En otras palabras, se trata de analizar cómo las personas se ven y se piensan a sí mismas, a partir del conocimiento acerca de qué esperan de sí y para sí. En este trabajo, el concepto orientaciones de futuro (Gjesme, 1981; Trommsdorff, 1983; Nurmi, 1991) resulta una herramienta conceptual fundamental para el abordaje de la cuestión.
El universo analizado se halla definido en este caso por los estudiantes que, a fines de 2008, se hallaban cursando el último año de estudio en escuelas secundarias de gestión estatal en el ámbito de la Ciudad Autónoma de Buenos Aires. El interés de este recorte analítico radica en la importancia de generar conocimiento acerca de las representaciones de los estudiantes acerca de la formación recibida y las posibilidades futuras, considerando que se trata de un aspecto de importancia en las transiciones laborales y educativas de los futuros egresados.
El trabajo se realizó sobre la base de los datos recabados por el Equipo de Nivel Secundario de la actual Gerencia Operativa de Investigación y Estadística del Ministerio de Educación del GCABA, de la cual la autora forma parte. Fue así como, para la elaboración de la tesis, se profundizó el análisis de las dimensiones comprendidas en las orientaciones de futuro laboral y educativo, avanzándose además en la exploración de algunos modelos de análisis multivariado sobre los objetivos de tipo profesional. Para ello se tomó el recaudo de utilizar los estimadores más adecuados que contemplaran las características del diseño muestral en términos de conglomeración, estratificación y selección sistemática con probabilidades desiguales sin reemplazo.
En cuanto al papel de la escuela, está claro que la obligatoriedad legal y la masificación del acceso a la educación secundaria en el transcurso de los últimos años ha delineado un escenario particular para las trayectorias vitales, laborales y educativas de los jóvenes. En este sentido es que interesó conocer el papel de la escuela en la construcción de los proyectos y aspiraciones de los jóvenes, sin omitir aquellos otros aspectos de tipo contextual, social y biográfico que también podían incidir en los itinerarios vitales.
Cabe la mención de que la producción de los horizontes temporales se halla imbricada con la producción del orden social (Lechner, 2002). En este sentido, no resulta ajena al tema analizado la individualización de las trayectorias vitales (Sennet, 1998) que ha repercutido en términos de ruptura del clásico modelo de “carrera laboral” (Dubet y Martuccelli, 2000; Sennet, 1998; Castel, 1997; Rosanvallon, 1995). En cuanto al contexto local, resulta necesario considerar como telón de fondo la recuperación de un rol activo del Estado en las políticas macroeconómicas con posterioridad a la crisis del 2001 (Novick, 2006), aunque sin llegar a revertir las problemáticas laborales en el segmento juvenil (Miranda y Zelarrayan, 2011; Álvarez y Fernández, 2011; Weller, 2006). Por otra parte, en el plano educativo no puede dejar de mencionarse el establecimiento de la obligatoriedad del nivel secundario (en la CABA establecida en 2002 y, a nivel nacional, en 2006 mediante la Ley 26.206).
Volviendo al foco de este trabajo, la descripción de las orientaciones de futuro abarcó varios aspectos: los objetivos priorizados, los plazos y obstáculos imaginados a futuro y la confianza en las posibilidades de concreción de los objetivos. Dichos aspectos fueron considerados en los planos laboral y educativo, primero separadamente y luego de manera combinada. Asimismo se comparó la influencia relativa de distintos atributos sobre los objetivos de tipo profesional, es decir, aquellos que apuntaban a un desempeño laboral que requería de un período de formación o de capacitación postsecundaria. Es así como se identificaron los perfiles biográficos y sociales asociados a estos planes de futuro, así como las condiciones contextuales y escolares que, en principio, los propiciaban en mayor medida.
En cuanto a la estructura del artículo, luego de este apartado introductorio se presenta de manera resumida el modelo analítico utilizado (sección 2) y se describen los principales aspectos metodológicos y estadísticos del trabajo (sección 3). A partir de allí se exponen los resultados más destacados: la descripción de las orientaciones de futuro laboral y educativo (sección 4.1), la modelización multivariada sobre los objetivos de tipo profesional a través de un análisis de regresión logística (sección 4.2) y algunos análisis que demuestran la importancia de la consideración de la complejidad del diseño muestral en la instancia de análisis de los datos (sección 4.3). Por último, se presenta una síntesis de los principales hallazgos.
El concepto más sustantivo de este trabajo es el de “orientaciones de futuro”. Se trata de un término proveniente de la Psicología Social que se define como la capacidad de anticipación de eventos futuros y que abarca tanto la elaboración cognitiva de planes y proyectos, como el grado de incumbencia, participación y compromiso en el futuro (Gjesme, 1981). Las orientaciones de futuro comprenden dos dimensiones: una “motivacional” referida a los intereses de las personas a futuro y una “cognitiva” que alude a la forma en que las personas piensan acerca del futuro en términos de secuencia temporal y causalidad (Trommsdorff, 1983). La dimensión motivacional comprende tres subdimensiones: a) el involucramiento (la medida en que las personas piensan en su futuro), b) el contenido temático (los objetivos que se formulan) y c) el contenido afectivo (el nivel de optimismo manifestado con respecto a la concreción de ese futuro). La dimensión cognitiva se halla referida a la forma en que se estructuran las orientaciones de futuro y abarca cuatro subdimensiones: a) la extensión (los plazos previstos para alcanzar los objetivos), b) la sensación de control (identificación de los posibles obstáculos a sortear que, según su naturaleza externa o interna, daría cuenta del nivel de expectativas con respecto a las posibilidades de control de la futura trayectoria) (Nurmi, 1991), c) la densidad (cantidad de objetivos propuestos) y d) el realismo (grado de concordancia con las posibilidades y modos de concreción de los planes de futuro) (Husman y Lens, 1999; McCabe y Barnett, 2000).2
La prevalencia empírica y el interés analítico en los objetivos de tipo profesional, obligan a una delimitación conceptual del término “profesión”. De acuerdo con Hargreaves (2000), la misma se asocia a una serie de rasgos como la autonomía, el conocimiento especializado, un período de entrenamiento y prácticas estandarizadas. Es por eso que en este trabajo se consideraron como objetivos profesionales aquellos que consistían en la formulación de trayectos que incluían un período de formación o capacitación luego de la secundaria.
En el Diagrama 1 se presenta el modelo analítico completo: el concepto orientaciones de futuro y cuatro dimensiones o grupos de variables explicativas introducidas en la regresión logística sobre los objetivos profesionales.
Las variables explicativas consideradas en el análisis se agrupan en cuatro dimensiones:
1. Atributos de la oferta educativa local: a) la ubicación geográfica de las escuelas (sur/ resto de la CABA) permitió diferenciar los barrios de la zona sur caracterizados por una trama urbana fragmentada, patrones heterogéneos de ocupación del suelo y de distribución poblacional, así como por mayores niveles de pobreza, desocupación y déficit educativo (Documento interno de la DIE del GCBA, 2008); b) la modalidad del plan de estudios (técnico/ bachiller o comercial) posibilitó la diferenciación entre tradiciones formativas e institucionales, con mandatos fundacionales y formatos escolares que podían incidir en las aspiraciones de los estudiantes (Filmus y Moragues, 2003); y c) el turno (diurno/ nocturno) distinguió entre ofertas diurnas y nocturnas que, en general, se muestran asociadas a distintas composiciones socio-educativas de los alumnados.
2. El perfil social del alumnado: a) el sexo fue considerado una característica demográfica clave en el marco de profundas transformaciones sociales y culturales que vienen aconteciendo en términos de ampliación de umbrales educativos y de participación laboral de las mujeres; y b) el origen social educacional (madre hasta secundario incompleto/ madre con secundario completo o más) fue contemplado a través del nivel educativo materno que, como se ha probado, presenta fuerte gravitación tanto en los horizontes (Bourdieu, 2006; Fieulaine, 2006; Guichard, 1995) como en los logros educacionales (Jorrat, 2008; Hossler y Stage, 1992; Kandel y Lesser, 1969).
3. La biografía educativa y laboral: a) la trayectoria escolar (sin/ con sobreedad) fue clave para la distinción entre itinerarios educativos ajustados a los teóricos previstos para la promoción y la terminalidad de la secundaria, y aquellos de una duración mayor que arrojaban indicios de episodios de repetición y/ o abandono escolar; y b) la experiencia laboral (sin/ con experiencia) se consideró como un aspecto que podía intervenir fuertemente en las significaciones que componían las imágenes de futuro laboral y educativo de los jóvenes.
4. El contexto institucional: a) el tamaño de la escuela (pequeña/ mediana o grande) remite de algún modo a las posibilidades de acompañamiento y seguimiento personalizado de los estudiantes; b) el nivel de abandono escolar intraanual de la escuela (bajo/ medio o alto) fue considerado un atributo de importancia como indicador del tipo de ambiente de aprendizaje (Cervini, 2003) y dada su variabilidad institucional (Steinberg y Tófalo, 2013; Steinberg, Cetrángolo y Gatto, 2011; PNUD, 2009); c) los niveles de valoración estudiantil de los aportes de las orientaciones cursadas, de los aprendizajes y de las experiencias escolares (bajos o medios/ altos) basados en actitudes, expectativas y percepciones de los propios estudiantes, fueron incluidos en el análisis debido a su importancia en estudios de efectividad escolar (Cervini, 2003).
Diagrama 1. Modelo analítico de las orientaciones de futuro laboral y educativo de los estudiantes del último año de la secundaria

Como se aclaró oportunamente, se utilizó como fuente una encuesta a estudiantes del último año de escuelas secundarias estatales de la CABA (quinto año en las escuelas con orientaciones comerciales y de bachillerato, y sexto en las escuelas técnicas). Se trató de un instrumento autoadministrado con presencia del encuestador frente a cada sección de estudiantes.
El marco muestral fue la base de datos del Relevamiento Anual 2006 del Ministerio de Educación nacional. Se extrajo una muestra de escuelas estatales partiendo de una estratificación que combinó el turno de la oferta educativa, la modalidad del plan de estudios y la ubicación geográfica de los establecimientos. De este modo, la unidad de muestreo fue la escuela-modalidad-turno, siendo cada institución contabilizada tantas veces como modalidades y turnos comprendiera. La asignación de la muestra en los estratos (nh) fue proporcional a la distribución del universo en los mismos (Nh), y se previeron estimaciones con un 95% de confianza.
Técnicamente se llevó a cabo entonces una selección estratificada de conglomerados de estudiantes con probabilidades desiguales sin reemplazo, ya que al interior de cada estrato se realizó un muestreo sistemático de escuelas-modalidades-turnos con probabilidades proporcionales al tamaño en matrícula. Se encuestó a todos los estudiantes que, al momento del relevamiento, se hallaban presentes en las unidades seleccionadas. Por lo tanto, la probabilidad de inclusión de cada estudiante en la muestra resultó igual a la probabilidad de inclusión de su escuela-modalidad-turno en el correspondiente estrato:

donde nh es el tamaño muestral del estrato en cantidad de conglomerados y xi es la cantidad de alumnos matriculados en el último año de estudio para la escuela-modalidad-turno i.
Se seleccionaron 57 (n) escuelas-modalidades-turnos de un total de 187 (N), realizándose 3.402 encuestas a estudiantes. Solo 10 jóvenes se rehusaron a responder, es decir que, en términos de la relación entre entrevistas concluidas y unidades contactadas (Lohr, 2000), la no respuesta se redujo a una mínima expresión.
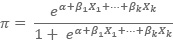
El modelo de regresión logística binomial resultó apropiado para el análisis de las orientaciones de futuro de los estudiantes, al aportar pistas acerca de cuáles son los atributos personales, institucionales, sociales y de la oferta educativa que se asocian a la priorización de objetivos de tipo profesional entre los estudiantes. Este tipo de modelo permite explicar una variable binaria que mide la ocurrencia de algún evento particular o la presencia de cierto atributo de interés. En general, esta variable se presenta con valores 0 y 1, y el modelo apunta a explicar su media π que –calculada como la suma de valores dividida por el tamaño muestral- representa la proporción de casos que cumplen con la condición estudiada. La expresión matemática general de la función al incorporar más de una variable explicativa es la siguiente:

La forma abreviada de la función es:

La expresión antilogarítmica permite obtener el π esperado para cada x:

La manera más sencilla de interpretar β es con una aproximación lineal. La línea tangente a la curva de regresión logística tiene pendiente βπ(1-π), la cual se minimiza en valores extremos de π y se maximiza en π=0.5.
Por otra parte, y más allá del tipo de modelización utilizada, se destaca la necesidad de utilizar medidas apropiadas que consideren la complejidad de un diseño muestral estratificado y conglomerado. En primer lugar se usa la corrección de segundo orden Rao-Scott χ2S a la prueba Chi cuadrada (χ2), que corrige la esperanza asintótica (E) y la varianza (V) de la distribución χ2 utilizando las pruebas de modelos de análisis de varianza de Satterthwaite3 (Lohr, 2000). Se trata de comparar la expresión:

con la expresión χ2 con v grados de libertad, donde:

Como se observa en la primera fórmula, la corrección de segundo orden incluye a la de primer orden χ2F que consiste en la corrección de la esperanza de χ2 a partir de la comparación de la siguiente expresión

con una distribución χ2(r-1)(c-1), donde r es el número de filas y c el número de columnas del cruce de variables en cuestión.
En cuanto a la estimación de varianza, se debió utilizar la aproximación Brewer considerando el muestreo sistemático con probabilidades desiguales sin reemplazo:


y ê*i representa los residuos mínimos cuadrados ponderados.
Por último, también se consideró el efecto del diseño muestral sobre la varianza de la estimación, el cual proporciona una medida de la precisión ganada o perdida por el uso del diseño complejo con respecto a una muestra aleatoria simple. De acuerdo con Lohr, el efecto de diseño de una muestra estratificada será generalmente menor a 1, lo cual significa una mejora en la precisión respecto de un muestreo aleatorio simple. En el muestreo por conglomerados, en cambio, el efecto de diseño es generalmente mayor a 1, lo cual indica una pérdida de precisión. Dado que en este caso se trata de una muestra estratificada y conglomerada, “el efecto de diseño total dependerá de si se pierde más precisión con los conglomerados que la ganada con la estratificación” (Lohr, 2000, p.238).

En la sección siguiente se presentan los principales resultados del análisis de las orientaciones de futuro laboral y educativo de los estudiantes.
Los resultados se presentan organizados en torno a tres núcleos de análisis: la descripción de las orientaciones de futuro laboral y educativo, el análisis de regresión logística multivariada sobre los objetivos de tipo profesional y algunos desarrollos que demuestran la importancia de la consideración de la complejidad del diseño muestral en la instancia de análisis de los datos.
Entre las metas privilegiadas por los estudiantes en cada plano (el laboral y el educativo) prevalecieron los proyectos educativo-laborales (Guichard, 1995; Falco de Jouas, 2003) en los que la educación y el trabajo se hallan fuertemente imbricados. En el plano laboral, cerca de la mitad de los estudiantes priorizó un objetivo que respondía a alguno de los siguientes itinerarios: el de “estudiar para trabajar” con eje en la continuación de estudios con vistas a un desempeño laboral especializado (elegido por el 29%) o el plan de “trabajar para estudiar”, apuntando a una pronta inserción laboral que estableciera condiciones para seguir estudiando (señalado por el 18% de los estudiantes). También al elegir un objetivo en el plano educativo, 1 de cada 3 jóvenes apostó a seguir estudiando para poder trabajar en algo afín a esa formación.
Los estudiantes estuvieron lejos de escatimar realismo al pensar en las dificultades que posiblemente enfrentarían a futuro (6 de cada 10 jóvenes previeron más de un obstáculo). Esto evidencia que la encuesta logró captar lo que los jóvenes consideraban viable o posible más allá de lo “deseable” (Corica, 2010), es decir las expectativas concretas más que las aspiraciones en sentido abstracto (Hauser y Anderson, 1991). Frente a las distintas metas señaladas por los estudiantes, la competencia y la falta de oportunidades figuraron entre las principales amenazas en el plano laboral. En cuanto al futuro educativo, lo que más preocupó fue la escasez de tiempo para estudiar.
Por otra parte, se identificó todo un repertorio de temporalidades en torno a los plazos previstos para la concreción de los objetivos elegidos. Uno de los principales contrastes en la extensión temporal se observó entre las expectativas de inserción laboral a corto plazo y las aspiraciones profesionales de más largo alcance.
Dada la centralidad cobrada por los proyectos educativo-laborales (Guichard, 1995) se profundizó acerca de las conexiones entre los dominios laboral y educativo de las orientaciones de futuro. Fue así como se elaboró una tipología en base a las convergencias halladas entre los objetivos laborales y educativos de los estudiantes, quedando definidos los siguientes tipos (ver el diagrama 2): a) proyectos educativo-laborales profesionales (24% de los estudiantes); b) proyectos educativo-laborales vocacionales (13%); c) proyectos educativo-laborales credencialistas (12%) y d) proyectos económico-profesionales (6%). Más de la mitad de los estudiantes quedó comprendida en alguno de estos enlaces cuyo denominador común era un itinerario futuro de profesionalización, aunque con dinámicas distintas en cuanto a la estructuración temporal y la anticipación de posibles obstáculos.

Cabe resaltar como hallazgo de relevancia que los estudiantes imaginaron menos dificultades educativas que laborales. Si bien los modos de “inserción” están lejos de expresar las voluntades o intenciones individuales (Nicole-Drancourt, 1994), muchos relatos juveniles se apoyaron fuertemente en la idea de que la voluntad personal permitiría sortear una estructura de oportunidades limitante (Meo y Dabenigno, 2008). Al respecto –y considerando como telón de fondo los altos índices de fracaso en los inicios de los estudios superiores- surge como reflexión la necesidad de políticas que contribuyan a zanjar estas distancias entre la estructura de oportunidades y los anhelos individuales.
El futuro laboral, en cambio, apareció menos previsible y “controlable” en la mirada de los jóvenes. Únicamente entre algunos estudiantes que aspiraban a una pronta inserción laboral para ayudar a su familia, la meta educativa se visualizó como más dificultosa.
La prevalencia empírica y la relevancia teórica de los objetivos de tipo profesional llevaron a emprender el desafío de identificar los distintos aspectos que podían explicar estas preferencias. Para ello se utilizó un modelo de análisis multivariado sobre los objetivos profesionales. Siguiendo el modelo analítico presentado en la sección 2, se consideraron cuatro dimensiones explicativas: contextual, institucional, social y biográfica. Dado que en general los estudiantes habían previsto menos condicionamientos educativos que laborales -quedando sugeridas distintas estructuraciones de los espacios de posibilidad imaginados-, en esta instancia se consideró pertinente analizar por separado cada plano de futuro.
A partir de un conjunto inicial de variables presumiblemente explicativas, la estrategia de análisis permitió –en base a criterios estadísticos- descartar variables, detectar relaciones espurias y descubrir los efectos puros y combinados de algunas de ellas. En el plano laboral, el análisis bivariado de preselección de variables para el abordaje multivariado, mostró que los objetivos profesionales no expresaban asociación con la zona geográfica, el nivel de abandono escolar de la escuela o la experiencia laboral del joven. Luego, en los cuatro pasos de la regresión logística multivariada, el tamaño de la escuela y el nivel de valoración estudiantil de los aprendizajes escolares también fueron descartadas como variables asociadas a este tipo de metas (los pasos se sintetizan en el diagrama 3).

El modelo final se presenta en el cuadro 1. La interacción turno*sobreedad resultó fuertemente explicativa en el modelo, con un β7=0,725. Las otras dos variables que resultaron muy asociadas a los planes profesionales fueron sexo con β5=0,349 y modalidad del plan de estudios con β1=0,309, significativas al 1%. Aunque en menor medida, también parecieron propiciar este tipo de planes el contexto institucional en términos de valoración estudiantil de los aportes de la orientación cursada con un β3=-0,242 y también el nivel educativo materno con un β4=0,203, ambas variables significativas al 5%. La esquematización del modelo final se presenta en el diagrama 4.
Cuadro 1. Regresión logística sobre los objetivos laborales profesionales.
Estudiantes del último año escuelas secundarias estatales. CABA. Año 2008


En cuanto a los signos negativos que presentan las variables turno y sobreedad, estos se deben a la presencia de la interacción entre ambas en el modelo final. Siguiendo a Heeringa, West y Berglund (2010) en el desarrollo de las razones de odds para el análisis de las interacciones en los modelos de regresión logística, se interpretó la incidencia combinada del turno y la sobreedad, (
 ≈2,06). Se estimaron cuatro modelos logits resultantes de la rotación de las categorías de referencia en las dos variables implicadas en la interacción (ver la columna 4 del cuadro 2). Luego se calcularon las diferencias de los diferentes logits estimados con respecto al logit calculado para la combinación “nocturno-con sobreedad” (columna 5), expresando las mismas como razones de odds (columna 6). Así se constató una diferencia mayor entre los estudiantes sin sobreedad de turnos diurnos (e (logit 1 - logit 4) = 1,034) respecto de los jóvenes sin sobreedad de los nocturnos (e (logit 3 - logit 4) = 0,916), lo cual condice con las diferencias en los porcentajes de estudiantes con planes laborales profesionales (28% vs. 16%).
Cuadro 2 Esquemas de covariación entre turno y condición de sobreedad, logits estimados y razones odds de comparación para la regresión sobre los objetivos laborales profesionales

En cuanto a las regresiones logísticas sobre los objetivos profesionales de estudio, fueron removidas las siguientes variables: zona geográfica, nivel de abandono escolar de la escuela y valoración estudiantil de los aprendizajes escolares (en el análisis bivariado de preselección de variables), y luego también el tamaño de la escuela, la experiencia laboral y el origen educacional (en los 5 pasos del análisis de regresión que se detallan en el diagrama 5).

La salida de la regresión final se presenta en el Cuadro 3. Se observó una fuerte incidencia de la variable sexo en los objetivos profesionales, y en segundo orden de importancia, del turno y de dos interacciones: “modalidad* reconocimiento estudiantil de la orientación vocacional” y “sobreedad*valoración estudiantil de la orientación para la inserción laboral”. Los resultados indican una fuerte incidencia de la variable sexo en los planes de estudio profesionales, con un β4 =  0,755. Es así como las chances de optar por este tipo de planes se duplican entre las mujeres con respecto a los varones (
 ≈2,13). Esto abre preguntas acerca de por qué ellas trazaban en mayor medida sus prioridades en torno a esta meta de profesionalización. Las tasas de actividad de los jóvenes presentan diferencias por sexo y pueden aportar pistas en este sentido. De acuerdo con datos de la Encuesta Permanente de Hogares para el total de los aglomerados urbanos, en el año 2008 se hallaban activos  el 51% de los varones y sólo el 35% de las mujeres entre 15 y 24 años (Base de datos SITEAL). Podría decirse entonces que las estudiantes mujeres, en contraste con los varones, podían estar ingresando más tardíamente al mercado laboral y pensando en futuros estudios, mientras que quizás ellos se sentían instados a salir más prontamente al mercado laboral. Los datos aportados por la encuesta arrojan algunas pistas en este sentido. En un segundo orden de importancia aparecen las interacciones “modalidad*reconocimiento estudiantil de la orientación vocacional” (β7= -0,446 y la “sobreedad*valoración estudiantil de la orientación para la inserción laboral” (β8= -0,448). Por razones de espacio se obvian en este caso los desarrollos de las razones de odds para la interpretación de las interacciones en el modelo resultante. El turno de asistencia a las clases es otra condición que apareció con cierta fuerza explicativa (β2= = 0,300), dando cuenta de que el cursar en un turno diurno aumenta en alrededor del 35% las chances de aspiración profesional en el plano educativo (
 ≈1,35). En el diagrama 6 se sintetizan estos hallazgos.
Cuadro 3. Regresión logística sobre los objetivos educativos profesionales.
Estudiantes del último año escuelas secundarias estatales. CABA. Año 2008


Tal como se explicó en la sección 3, el efecto de diseño sobre la varianza de una estimación se puede medir mediante el cociente de la varianza obtenida en el diseño complejo y la varianza en un “diseño naive” (Kleinbaum, 2002) bajo supuesto de muestreo aleatorio simple con tamaño muestral equivalente. Así, el efecto de diseño permite tener una idea aproximada de la precisión ganada o perdida con el diseño complejo con respecto al muestreo simple al azar. Por razones de espacio solo se presentan en esta sección los resultados referidos a la dimensión laboral.
En este caso se estimó un 25% de estudiantes con objetivos laborales profesionales con un efecto de diseño de 2,3. Al ser dicho efecto mayor a 1, se dedujo que la precisión perdida por haber conglomerado la muestra superó a la ganada por haber estratificado. La comparación se realizó sobre la base de la información presentada en el cuadro 4.
Cuadro 4. Estimación de la proporción de estudiantes con objetivos profesionales laborales. Efecto de diseño, varianza y límite superior del intervalo de estimación bajo supuesto de muestreo aleatorio simple y al considerar el diseño complejo

En la estimación que consideraba la complejidad del diseño se obtuvo una varianza levemente mayor a la calculada bajo supuesto de muestreo aleatorio simple para un tamaño muestral equivalente. Esto se tradujo en un intervalo de estimación más amplio y menor precisión. De ahí que se concluya la importancia de la consideración de la complejidad del diseño muestral en el análisis de resultados. Se trata de pequeñas diferencias que cobran importancia en la contrastación de hipótesis de relaciones y en la modelización.
En el cuadro 5 se observa cómo todos los p-valores obtenidos al realizar las pruebas de hipótesis resultaron más pequeños bajo supuesto de muestreo aleatorio simple que al considerar la estructura compleja del diseño. De esto se desprende que el alejamiento de la independencia estadística se exagera al obviar el peso de la conglomeración de diseño. A modo de ejemplo, al evaluar las relaciones con los objetivos laborales profesionales, se vio que el turno de asistencia a las clases, el tamaño de la escuela, el nivel de valoración estudiantil de los aprendizajes escolares y la condición de sobreedad fueron las variables que, al obviar el diseño en el análisis, rechazaron las hipótesis nulas de independencia estadística con niveles de significancia de 0,1% (***). Al considerar el diseño, en cambio, las significancias se ubicaban en el orden del 5% (*). En cuanto al nivel de valoración estudiantil de los aportes de la orientación cursada para trabajar, se observó una disparidad menos pronunciada al efectuar las pruebas de hipótesis en el plano laboral.
Estos resultados muestran que las diferencias surgidas al considerar y al ignorar el diseño muestral hubieran sido notorias de haberse decidido incorporar a los modelos multivariados sólo aquellas variables que rechazaran las hipótesis nulas con niveles de significación más exigentes (al 1% por ejemplo). Bajo hipótesis de muestreo aleatorio simple hubieran entrado 8 variables, mientras que considerando la complejidad de diseño, hubieran sido 4 las variables introducidas.
Cuadro 5. Pruebas de independencia estadística de las variables explicativas con el objetivo profesional laboral. Comparación entre ignorar y considerar el diseño complejo.

Cuadro 6. Comparación de regresiones sobre los objetivos laborales profesionales al ignorar y al considerar el diseño complejo

Por último, se comparó el modelo final al utilizar los estadísticos apropiados para la consideración de la complejidad de diseño con el modelo “naive” (ver cuadro 6). Si bien los coeficientes Beta estimados resultaron coincidentes en ambas versiones, se observaron diferencias en las pruebas de significancia estadística de los términos de la ecuación de regresión. Al ignorar el diseño se obtuvieron Walds más grandes, obteniéndose p-valores más pequeños que condujeron a rechazos más fuertes de las hipótesis nulas. Por lo tanto, con excepción de la interacción turno*sobreedad, todos los términos de la ecuación de regresión se situaron en distintos “umbrales” de significancia, dependiendo de que el diseño complejo fuera ignorado o considerado.
De todo lo analizado se desprende que la consideración de la complejidad del diseño muestral es un aspecto de suma importancia a considerar en la exploración bivariada y multivariada. Se mostró cómo las diferencias detectadas en la evaluación de las relaciones bivariadas con la variable dependiente de interés pueden dar lugar a distintas preselecciones de variables a incorporar en modelos de mayor complejidad, fundamentalmente cuando las significancias estadísticas van traspasando los “umbrales” más habitualmente utilizados (0,1%, 1% y 5%). Por otra parte, de la comparación de los resultados finales de las regresiones también se deduce que las distorsiones provocadas al ignorar el diseño pueden dar lugar a diferentes recorridos en la búsqueda de modelos más parsimoniosos.
En este artículo se presentaron algunos resultados de una tesis que analizó las orientaciones de futuro laboral y educativo de los estudiantes que se hallaban cursando el último año en escuelas secundarias estatales de la Ciudad Autónoma de Buenos Aires. La fuente de datos fue una encuesta realizada por el Ministerio de Educación de dicha jurisdicción a fines de 2008 a los alumnos de una muestra de escuelas-modalidades-turnos.
Las generalizadas expectativas de continuidad educativa postsecundaria y adquisición de otras titulaciones en los itinerarios imaginados por los estudiantes se sitúan en un escenario socio-histórico signado por la obligatoriedad del nivel secundario y la progresiva devaluación de sus credenciales en el mercado de trabajo. En primer lugar, resultaron destacados los proyectos educativo-laborales (Guichard, 1995) y los jóvenes se mostraron bastante realistas a la hora de anticipar posibles obstáculos. La competencia y la falta de oportunidades estuvieron entre las dificultades más mencionadas al pensar en un objetivo laboral. En el plano educativo, en cambio, se visualizaron menos dificultades, aunque quedando resaltado el temor a no contar con suficiente tiempo para estudiar.
En cuanto a los resultados sustantivos que se desprenden del análisis multivariado, puede decirse que la diferencia detectada entre varones y mujeres en cuanto a la centralidad de los planes profesionales, resultó decisiva tanto en el plano laboral como en el educativo. Fueron las mujeres quienes más fuertemente priorizaron las metas profesionales, lo cual condice con las particularidades halladas en Argentina en cuanto a la gran presencia femenina en la educación superior y su mayor movilidad educacional con respecto a los varones (Jorrat, 2010). En ese sentido, se vio cómo en el plano de las expectativas de los actores aparecía reflejado y delineado un fenómeno social de mayor alcance. La modalidad del plan de estudios también emergió como un aspecto clave en los horizontes de futuro, observándose un hiato entre la formación bachiller o comercial y la técnica. Es así como entre los estudiantes de escuelas técnicas, los planes profesionales fueron menos frecuentes, prevaleciendo entre ellos otras expectativas de inserción laboral más directa desde la secundaria (no es que estos jóvenes descartaran metas profesionales, sino que depositaban más expectativas en oportunidades laborales más inmediatas).
Por otra parte, el origen educacional adquirió fuerza explicativa en el plano laboral -no así en el educativo- lo cual evidencia cómo en la planificación del futuro laboral se expresan con más fuerza aquellos condicionamientos socioeconómicos que orientan a los jóvenes de origen social más bajo hacia metas de inserción laboral y obtención de ingresos antes que de profesionalización. En contrapartida, en el plano educativo los horizontes profesionales tuvieron una difusión amplia e independiente del origen social. La visualización de la educación como terreno de mayor despliegue de posibilidades futuras fue un resultado reiterado. Si bien el desencanto de no hallar correspondencia entre la titulación y las recompensas materiales y simbólicas (Tenti, 2000), podía instar a los jóvenes de origen social más bajo a una ampliación de sus aspiraciones educativas con vistas a mejores oportunidades, es claro que ciertas condiciones contextuales –como una oferta variada, gratuita y sin restricciones formales de acceso- habilitaban este tipo de opciones a los estudiantes a punto de finalizar la secundaria, sin distinción de orígenes sociales.
Otro eje de análisis se vinculó con el tratamiento estadístico de los datos. En este sentido, se ha argumentado acerca de la importancia de considerar la complejidad del diseño muestral en la instancia de análisis de datos, fundamentalmente cuando se trata de evaluar la existencia de relaciones entre variables, tanto en los análisis bivariados como multivariados. Para mostrar la importancia de considerar aquellos criterios puestos en juego al diseñar y seleccionar la muestra, se compararon los resultados que contemplaban el diseño muestral complejo con otros obtenidos en “diseños naive” (Kleinbaum, 2002) que operaban bajo supuesto de selección aleatoria simple. Se planteó entonces que los efectos de ignorar la estructura de correlaciones adquieren importancia al comparar resultados en las pruebas de hipótesis y conlleva riesgos epistemológicos de enunciación de falsas relaciones.
AGRESTI, A. y FINLAY, B. (1997). Statistical Methods for the Social Sciences (tercera edición). New Jersey: Prentice Hall.
ALVAREZ, M. y FERNÁNDEZ, A. (2011). Movilidad ocupacional de los jóvenes en la Argentina durante la postconvertibilidad. Ponencia presentada en 10° Congreso Nacional de Estudios del Trabajo. Buenos Aires. 3 al 5 de agosto de 2011.
BERGER, Y. (2003). A Simple Variance Estimator for Unequal Probability Sampling Without Replacement. Southampton: Social Statistics Research Centre.
BOURDIEU, P. (2006). Argelia 60: Estructuras económicas y estructuras temporales. Buenos Aires: Siglo XXI Editores.
CASTEL, R. (1997). La metamorfosis de la cuestión social. Buenos Aires: Paidós.
CERVINI, R. (2003). "Relaciones entre composición estudiantil, proceso escolar y el logro en matemáticas en la educación secundaria en Argentina". En Revista Electrónica de Investigación Educativa, Vol. 5(1), 1-27.
CORICA, M. (2010). Lo posible y lo deseable. Expectativas laborales de jóvenes de la escuela secundaria. Tesis de maestría publicada, Facultad Latinoamericana de Ciencias Sociales, Buenos Aires.
DABENIGNO, V., AUSTRAL, R., GOLDENSTEIN JALIF, Y., IÑIGO, L. y SKOUMAL, G. (2007). Imágenes de futuros laborales. Horizontes sociales y personales de jóvenes escolarizados en el nivel medio de la Ciudad de Buenos Aires. Ponencia presentada en IV Congreso Nacional y II Internacional de Investigación Educativa. Comahue. 18 al 20 de abril de 2007. 
DIRECCIÓN DE INVESTIGACIÓN Y ESTADÍSTICA (2008). Diagnóstico socioeducativo de la zona sur. Primer informe de avance (documento interno). Buenos Aires: Dirección de Investigación y Estadística/ ME/ GCABA.
DUBET, F. y MARTUCELLI, D. (2000). ¿En qué sociedad vivimos? Buenos Aires: Losada.
FALCO DE JOUAS, R. (2003) El proyecto educativo-laboral. Un desafío a la orientación universitaria. Ponencia presentada en Congreso Latinoamericano de Educación Superior en el Siglo XXI. San Luis. 18, 19 y 20 de septiembre de 2003.
FIEULAINE, N. (2006). Perspective temporelle, situations de précarité et santé: une approche psychosociale du temps. Tesis de doctorado. Marseille: Université de Provence.
FILMUS, D. y MORAGUES, M. (2003). "¿Para qué universalizar la educación media?" en Educación media para todos. Los desafíos de la democratización del acceso. Tenti Fanfani E. (Comp.). Buenos Aires: Grupo Editor Altamira.
GJESME, T. (1981). "Is there any future in achievement motivation?" en Motivation and Emotion, Vol. 2, 115-138.
GUICHARD, J. (1995). La escuela y las representaciones de futuro de los adolescentes. Barcelona: Laertes.
HARGREAVES, A. (2000). “Four ages of professionalism and professional learning”. En Teachers and Teaching: History and Practice, 6(2):151-182.
HAUSER, R. y ANDERSON, D. (1991). "Post-high school plans and aspirations of black and white high school seniors: 1976-86". En Sociology of Education, Vol. 64(October), 263-277.
HEERINGA, S., WEST, B. y BERGLUND, P. (2010) Applied Survey Data Analysis. Boca Raton, London, New York: Chapman & Hall/CRC Statistics in the Social and Behavioral Sciences.
HOSSLER, D. y STAGE, F. (1992). "Family and High School Experience Influences on the Postsecondary Educational Plans of Ninth-Grade Students". En American Educational Research Journal, Vol. 29(2), 425-451.
HUSMAN, J. y Lens, W. (1999). "The role of the future in student motivation". En Educational Psychologist, Vol. 34(2), 113-125.
JORRAT, R. (2010).  “Logros educacionales y movilidad educacional intergeneracional en Argentina”. En Desarrollo Económico, 49(196): 573-604.
KANDEL, D. y LESSER, G. (1969). "Parental and Peer Influences on Educational Plans of Adolescents". En American Sociological Review, Vol. 34(2), 213-223.
KISILEVSKY, M. (2002). Condiciones sociales y pedagógicas de ingreso a la educación superior en la Argentina. Dos estudios sobre el acceso a la educación superior en la Argentina. Buenos Aires: IIPE - UNESCO.
KLEINBAUM, D. y Klein, M. (2002). Logistic Regression. A Self-Learning Text. New York: Springer-Verlag.
LECHNER, N. (2002). Las sombras del mañana. La dimensión subjetiva de la política. Santiago de Chile: LOM Ediciones.
LOHR, S. (2000). Muestreo: diseño y análisis. México DF: Thompson Learning.
LONGO, M. (2007). Anticiparse en el trabajo: el rol del futuro en las trayectorias profesionales de los jóvenes. Ponencia presentada en 8vo Congreso Nacional de Estudios del Trabajo. Buenos Aires. 8 al 10 de agosto de 2007.
LUMLEY, T. (2011). Survey: analysis of complex survey samples. R package version 3.26.
LUMLEY, T. (2010). Complex Surveys. A Guide to Analysis Using R. New Jersey: Wiley.
McCABE, K. y Barnett D. (2000). "First Comes Work, Then Comes Marriage: Future Orientation Among African American Young Adolescents". En Family Relations, Vol. 49(1), 63-70.
MEO, A. y DABENIGNO, V. (2008). "Los adolescentes y sus visiones de futuro: una primera aproximación a las expectativas educativas en sectores populares de la ciudad de Buenos Aires" en Cambios epocales y transformaciones en el sistema de educación superior: la universidad argentina y los nuevos desafíos. Iriarte, A. (Ed.). Buenos Aires: Teseo.
MIRANDA, A. y ZELARAYAN, J. (2011). La situación de los jóvenes en el mercado de trabajo en la Argentina postconvertibilidad. Ponencia presentada en 10° Congreso Nacional de Estudios del Trabajo. Buenos Aires. 3 al 5 de agosto de 2011.
NICOLE-DRANCOURT, C. (1994). "Mesurer l'insertion professionnelle". En Revue de sociologie française, Vol. 35(1), 37-68.
NOVICK, M. . (2006). "¿Emerge un nuevo modelo económico y social? El caso argentino 2003-2006". En Revista Latinoamericana de Estudios del Trabajo, Vol. Año 11(18), 53-78.
NURMI, J.E. (1991) "How do adolescents see their future? A review of the development of future orientation and planning". En Developmental Review, Vol. 11, 1-59.
PROGRAMA NACIONAES UNIDAS PARA EL DESARROLLO (2009). Abandono escolar y políticas de inclusión en la educación secundaria. Buenos Aires: PNUD.
    R DEVELOPMENT CORE TEAM (2012). R: A language and environment for statistical computing. R Foundation for Statistical Computing. Vienna.
ROSANVALLON, P. (1995). La nueva cuestión social. Repensar el Estado providencia. Buenos Aires: Ediciones Manantial.
SENNET, R. (1998). La corrosión del carácter. Las consecuencias personales del trabajo en el nuevo capitalismo. Barcelona: Anagrama.
STEINBERG, C. y TÓFALO, A. (2013). “Aportes para examinar las desigualdades educativas en los grandes centros urbanos. El uso del coeficiente de Gini para analizar la distribución del abandono escolar entre las escuelas secundarias de la Ciudad Autónoma de Buenos Aires”. En Revista Latinoamericana de Metodología de las Ciencias Sociales, Vol. 3 (1).
STEINBERG, C., CETRÁNGOLO, O. y GATTO, F. (2011). Desigualdades territoriales en la Argentina. Insumos para el planeamiento estratégico del sector educativo. Santiago de Chile: CEPAL.
TENTI FANFANI, E. (2000). Culturas juveniles y cultura escolar. Ponencia presentada en Seminario "Escola Jovem: un novo olhar sobre o ensino médio". Brasilia. 7 al 9 de junio de 2000.
TROMMSDORFF, G. (1983). "Future orientation and socialization". En International Journal of Psychology, Vol. 18, 381-406.
WELLER, J. (2006). "Inserción laboral de jóvenes: expectativas, demanda laboral y trayectorias" en Estrategias educativas y formativas para la inserción social y productiva. Jacinto, De Ibarrola, Girardo, Mochi (Coords.). Uruguay: OIT/ Cinterfor, UNESCO, IIPE, RedEtis.